时间:2017-08-22 14:54:02
1、推断题 某芳香烃A能实现如下转化
(1)写出下列有机物的结构简式:A__________,E_________。
(2)写出反应②和⑤的反应类型:②__________反应;⑤_________反应。
(3)写出下列反应的化学方程式:反应③:_____________;反应⑥:_____________。
参考答案:(1)
;
(2)取代(或水解);消去(3)
;
本题解析:
本题难度:一般
2、填空题 乙炔是一种重要的有机化工原料,以乙炔为原料在不同的反应条件下可以转化成以下化合物。完成下列各题:
(1)正四面体烷的二氯取代产物有________种。
(2)关于乙烯基乙炔分子的说法正确的是________。
A.能使酸性KMnO4溶液褪色
B.1摩尔乙烯基乙炔能与3摩尔Br2发生加成反应
C.乙烯基乙炔分子内含有两种官能团
D.等质量的乙炔与乙烯基乙炔完全燃烧时的耗氧量不相同
(3)写出与环辛四烯互为同分异构体且属于芳香烃的分子发生加聚反
应的化学方程式?
(4)写出与苯互为同系物且一氯取代产物只有两种的物质的结构简式
(举两例):__________________、__________________。
参考答案:(1) 1 ? (2)ABC (3)n
→
。

本题解析:(1)正四面体烷结构高度对称,一氯代物为一种,二氯代物也为一种。(2)乙烯基乙炔中含有碳碳双键和碳碳三键,能使酸性高锰酸钾溶液褪色,A正确、C正确;1mol碳碳双键与1molBr2完全加成,1mol碳碳三键与2molBr2完全加成,B正确;乙炔和乙烯基乙炔最简式相同,等质量两种物质完全燃烧耗氧量相同,D错误。(3)环辛四烯分子式为C8H8,与它互为同分异构体的芳香烃为
,加聚反应方程式为n
→
。(4)与苯互为同系物且一氯代物只有两种的物质可能有
、
、
等。
点评:判断二氯代物种数时,可先固定一个氯原子,再用另一个氯原子依次取代不同环境的H。
本题难度:一般
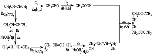
3、填空题 盐酸利多卡因(F)葡萄糖注射液抗心律失常,可用于急性心肌梗死后室性早搏和室性心动过速。合成路线如下
(1)B在核磁共振氢谱上有__________种特征峰,C→D的反应类型是__________。
(2)C的结构简式为____________________。
(3)B的同分异构体种类很多,符合以下条件的B的同分异构体共有__________种。
①属于苯的衍生物,苯环上共有三个取代基;
②与碳酸钠溶液反应可放出CO2气体。
(4)写出
与足量的NaOH溶液共热充分反应的化学方程式:__________________________。
(5)现仅以有机物CH3CH=CHCH3为原料,无机试剂任选,用反应流程图表示合成有机物
CH3COOCH2CH=CHCH2OOCCH3的过程。提示:
①
②由乙醇合成聚乙烯的反应流程图可表示为:
参考答案:(1)3;取代反应
(2)“略”
(3)10(4)
(5)
本题解析:
本题难度:困难
4、填空题 (6分)(1)下表为烯类化合物与溴发生加成反应的相对速率(以乙烯为标准)。
| 烯类化合物 | 相对速率 |
| (CH3)2C=CHCH3 | 10.4 |
| CH3CH=CH2 | 2.03 |
| CH2=CH2 | 1.00 |
| CH2=CHBr | 0.04 |
物与氯化氢加成时,取代基对速率的影响与上类似,反应速率最慢的是________(填代号,1分)。
、CH3CH=CH CH3
?CH3CHBrCH3 + CH3CH2CH2Br
(次要产物)参考答案:(1)C=C上取代基为饱和烃基时,反应速率加快;饱和烃基越多,反应速率越快;C=C上取代基为溴原子(或卤原子)时,反应速率减慢。
(2)D
(3)
本题解析:略
本题难度:一般
5、填空题 一种重要的药物中间体E的结构简式为:
,合成E和高分子树脂N的路线如下图所示:
已知:
①
②
请回答下列问题:
(1)合成高分子树脂N
① A中含氧官能团的名称为_____________。
② 由A可制得F,F的结构简式为___________________;F→G的反应类型为__________。
③ G有多种同分异构体,其中一种异构体X的结构简式为:
,下列有关X的说法正确的是___________(填标号)。
a.能与银氨溶液发生反应
b.能与氢气在一定条件下发生加成反应
c.在碱性条件下发生水解反应,1 mol X消耗2 mol NaOH
d.加热条件下,与NaOH醇溶液反应,只生成一种有机物
④ 写出M→N反应的化学方程式_______。
⑤ 已知碳碳双键能被O2氧化,则上述流程中“F→G”和 “H→M”两步的作用是__________。
(2)合成有机物E
① 写出C→E反应的化学方程式______________________。
② 实验室由C合成E的过程中,可使用如图所示的装置提高反应物的转化率。油水分离器可以随时将水分离除去。请你运用化学平衡原理分析使用油水分离器可提高反应物转化率的原因_________。
参考答案:(16分)
(1) ① 醛基
②
?加成反应
③ a b c(多答、错答不得分;答对1个不得分;答对2个得1分,答对3个得2分)
④
⑤防止碳碳双键被氧化(或:保护碳碳双键,使之不被氧化)
(2)①
②该装置能将酯化反应中生成物及时分离出去,使平衡向右移动,提高反应物转化率
本题解析:
(1)②
+ HCHO 
+ H2O
F→G;F为
含双键与Br2/CCl4?发生加成反应生成G。
③X的结构简式为:
含-CHO发生银镜反应与氢气加成反应,选ab,含两个
—Br,需2 mol NaOH发生水解反应。选c。
⑤保护碳碳双键,使之不被氧化。
本题难度:困难