时间:2017-08-22 14:54:02
1、简答题 阿司匹林(乙酰水杨酸)是由水杨酸和乙酸酐合成的:
在生成乙酰水杨酸的同时,水杨酸分子间也能发生聚合反应,生成少量聚合物(副产物).合成乙酰水杨酸的实验步骤如下:
①向150mL干燥锥形瓶中加入2.0g水杨酸、5mL乙酸酐(密度1.08g/ml)和5滴浓硫酸,振荡,待其溶解后,控制温度在85~90℃条件下反应5~10min.然后冷却,即有乙酰水杨酸晶体析出.
②减压过滤,用滤液淋洗锥形瓶,直至所有晶体被收集到布氏漏斗中.抽滤时用少量冷水洗涤晶体几次,继续抽滤,尽量将溶剂抽干.然后将粗产品转移至表面皿上,在空气中风干.
③将粗产品置于100mL烧杯中,搅拌并缓慢加入25mL饱和碳酸氢钠溶液,加完后继续搅拌2~3分钟,直到没有二氧化碳气体产生为止.过滤,用5~10mL蒸馏水洗涤沉淀,合并滤液于烧杯中,不断搅拌,慢慢加入15mL 4mol/L盐酸,将烧杯置于冷水中冷却,即有晶体析出.抽滤,用冷水洗涤晶体1~2次,再抽干水分,即得产品(纯净物)1.9克.
请回答下列问题:
(1)第①步中,要控制反应温度在85~90℃,应采用______加热方法.用这种加热方法需要的玻璃仪器有______?
(2)在第②步中,用冷水洗涤晶体,其目的是______、______
(3)第③步中,加入碳酸氢钠的作用是______加入盐酸的作用是______.
(4)如何检验产品中是否混有水杨酸?______
(5)试计算本次合成阿司匹林的产率为______(保留二位有效数字)
2、填空题 (15分)[有机化学基础] 有机物A的结构简式为
,从A出发,可发生图示中的一系列反应。其中M属于高分子化合物,J和K互为同分异构体,N的产量可作为衡量一个国家石油化工发展水平的标志。
已知:
④甲醛分子中4个原子共平面。
请回答下列问题:
(1)写出A中含有的官能团的名称________________________
(2)写出下列物质的结构简式:J____________;F__________________。
(3)写出下列反应的化学方程式(注明反应条件并配平)
H→M________________________;D+I→K_____________________。
(4)与B互为同分异构体,属于酯类且含有苯环的化合物有_____种。
(5)C分子中处于同一平面的原子最多可有__________个。
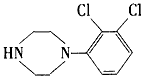
3、填空题 阿立哌唑(A)是一种新的抗精神分裂症药物,可由化合物B、C、D在有机溶剂中通过以下两条路线合成得到。
A:
B:
C:
D:

(1)E的结构简式为_____
(2)由C、D生成化合物F的反应类型是_____
(3)合成F时还可能生成一种相对分子质量为285的副产物G,G的结构简式为_____
(4)H属于α-氨基酸,与B的水解产物互为同分异构体。H能与FeCl3溶液发生显色反应,且苯环上的一氯代物只有2种。写出两种满足上述条件的H的结构简式:________________
(5)已知:
写出由C制备化合物
的合成路线流程图(无机试剂任选)。合成路线流程图示例如下:? 
4、选择题 以乙醇为原料,用下述6种类型的反应:①氧化;②消去;③加成;④酯化;⑤水解;⑥加聚,来合成乙二酸乙二酯(结构简式如图所示)的正确顺序是

[? ]
5、填空题 已知,当羟基与双键碳原子相连接时,易发生如下转化:
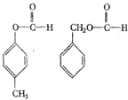
化学式为C8H8O2的有机物有如下的转化关系:
其中F能与FeCl3溶液显紫色,I为一种不饱和酯。
回答:
(1)结构简式E?,B?,I?。
(2)写出反应类型:B→C?;? G→H??。
(3)写出下列反应的化学方程式
①A→D+E?。
②B→C?。
(4)写出与A具有相同官能团、且属于芳香族化合物的同分异构体的结构简式(不含A):
?、?、?。