时间:2017-08-10 00:42:28
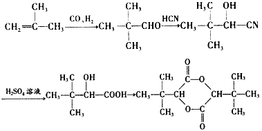
1、填空题 MMA既是一种高分子化合物(有机玻璃)的单体,又是制取甲基丙烯酸丙酯等的重要原料。现有三条制备高分子(MMA)的途径,其流程如下
(1)工业上将A和甲醇及过量硫酸一起,一步反应生成MMA,该反应的化学方程式为__________________
(2)反应②是在500℃并有催化剂存在的条件下发生的,则其反应类型为:_________________。
(3)某物质既能发生银镜反应,又能发生水解反应,其分子中还有手性碳原子,并与
互为同分异构体,则该物质结构简式为:____________________。
(4)物质D的核磁共振氢谱有两个峰,它与CO、CH3OH以物质的量之比1:1:1反应恰好生成MMA,则D的结构简式为___________________,该方法的优点是________________。
(5)MMA和1-丙醇反应制取甲基丙烯酸丙酯的化学方程式为:_________________。
(6)根据题中流程里提供的新信息,写出由(CH3)2C=CH2制备化合物
的合成路线流程图(无机试剂任选)。合成路线流程图示例如下
___________________________________
参考答案:(1)(CH3)2C(OH)CN+CH3OH+H2SO4→ CH2=C(CH3)COOCH3+NH4HSO4
(2)消去反应或氧化反应或裂解反应
(3)HCOOCH(CH3)CH2CH3
(4)CH
CCH3;原子利用率为100% (5)
(6)
本题解析:
本题难度:困难
2、推断题 H是一种高效、低毒农药,属于酯类物质,可以甲苯为原料制得F,再由F和G合成H,合成路线如下
已知:R-CN
RCOOH(R代表烃基)
(1)C的结构简式是___________,H的结构简式是________________
(2)A→B的反应类型是___________,M→G的反应类型是___________
(3)写出满足下列条件的F的一种同分异构体的结构简式_____________。
①苯的衍生物,且苯环上的一取代产物只有两种;②能发生银镜反应;③能与FeCl3溶液发生显色反应。
参考答案:
(1)
;

本题解析:
本题难度:一般
3、推断题 盐酸艾司洛尔是一种常见的心脑血管药物,下图是其合成路线
已知:
I.A的相对分子质量小于140,C的结构简式为:
,E与F遇FeCl3溶液均呈
II. RCHO+CH3COOH→RCH=CHCOOH+H2O
回答下列问题:
(1)有机物A的结构简式为________________,盐酸艾司洛尔的化学式为____________。
(2)B→C的反应类型为_______,C中所含官能团的名称为___________。
(3)写出C→D中步骤①的化学反应方程式:________________。
(4)写出F在一定条件下生成高聚物的化学反应方程式:___________________。
(5)G是E的同分异构体。已知G分子中含有2个六元环;1 mol G与NaOH溶液反应时,最多消耗3 mol
NaOH;G能与浓溴水发生取代反应。写出G的一种可能的结构简式_______________。
参考答案:(1)
;C16H26NO3Cl
(2)取代反应;酯基和氯原子 (3)
(4)
(5)
(或
、
、
)
本题解析:
本题难度:困难
4、推断题 已知:
信息I: 有机物的转化存在以下计量上的关系: 
信息II: 有机物A、B、C、D、E、F之间存在如下的转化关系
其中:有机物D在浓硫酸作用下发生分子内脱水,可形成具有五元环状结构的有机物G。根据上述信息,完成下列问题:
(1)有机物A的分子式为:_____________;分子中含有的官能团名称为_____________;
(2)上述①~⑥转化关系中,属于取代反应的是_____________(填序号);
(3)请写出G的结构简式:_____________;
(4)A的一种同分异构体H能与NaHCO3反应,请写出H所有的结构简式_____________;
(5)写出反应①的化学方程式__________________________。
参考答案:(1)C8H8O2;醛基、羟基
(2)①③⑤⑥(3)
(4)
(5)
本题解析:
本题难度:困难
5、选择题 下列叙述不正确的是
A.合成材料一般可分为塑料、合成纤维、合成橡胶以及黏合剂、涂料等种类
B.塑料均可以反复加工、多次使用
C.化学纤维可分为人造纤维和合成纤维,合成纤维往往具有强度高、弹性好、耐磨、耐化学腐蚀等优点
D.合成橡胶在性能上不如天然橡胶全面,但因其高弹性、绝缘性、气密性、耐油耐低温或高温等优点,已被广泛应用于许多领域
参考答案:B
本题解析:
本题难度:一般