高考物理答题技巧《力的合成与分解》高频试题强化练习(2017年最新版)(六)

时间:2017-08-09 09:18:33

微信搜索关注"91考试网"公众号,领30元,获取事业编教师公务员等考试资料40G

1、实验题  下图为一次验证“互成角度的两个共点力的合成”的实验记录,O为橡皮条节点的位置,F1、F2分别沿OA、OB的连线。

(1)用力的图示求出F1、F2的合力F=____________N;(保留两位有效数字,要求作图2分)。
(2)用一个力F'把橡皮的结点拉到与O点重合,记录F'的大小和方向,F'与____________在实验误差内相等,说明____________得到验证。



2、实验题  在“探究加速度与力、质量的关系”实验中,用重物牵引小车,使小车在木板上(或轨道上)做匀变速运动。对此,下面说法中正确的是
[? ]
A.每次改变小车的质量时,不需要重新平衡摩擦力
B.在平衡摩擦力,调整木板的倾角时,应将吊着重物的细线通过定滑轮拉着小车,使拖着纸带的小车在木板上做匀速运动
C.实验时应使牵引小车的细线尽量与木板(或轨道)平行
D.实验中应始终保持小车和砝码的质量远大于被悬吊重物的质量
E.实验时,先放开小车,再接通打点计时器电源



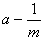
3、实验题  某同学设计了一个探究加速度a与物体所受合力F及质量m关系的实验,如图所示,图甲为实验装置简图(交流电的频率为50 Hz)。

(1)图乙为某次实验得到的纸带,根据纸带可求出小车的加速度大小为___________m/s2(保留两位有效数字)。
(2)保持托盘中砝码质量不变,改变小车质量m,分别得到小车加速度a与质量m及对应的数据如下表:

请在如图所示的方格坐标纸中画出图线,并依据图线求出小车加速度a与质量倒数之间的关系式是________________。



4、选择题  在物理学发展的过程中,某位科学家开创了以实验检验猜想和假设的科学方法,并用这种方法研究了落体运动的规律,这位科学家是(?)
A.焦耳
B.安培
C.库仑
D.伽利略



5、实验题  在“验证力的平行四边形定则”实验中,在水平旋转的方木板上铺上一张白纸,用图钉把白纸订在方木板上,把橡皮条的一端固定在板上的A点,用两根细绳套拴在橡皮条的另一端,通过细绳套用两个互成角度的弹簧秤拉橡皮条,使结点移到某一位置O,此时需记录下____________、____________、____________。然后,只用一个弹簧秤把橡皮条拉长,使结点到达____________,再记下____________和____________。在实验中使用弹簧秤时要注意:___________________________。




首页 上页 5 6 7 下页 尾页 6/10/10
微信搜索关注"91考试网"公众号,领30元,获取公务员事业编教师考试资料40G
【省市县地区导航】【考试题库导航】
 ★ 高考省级导航 ★ 
全国 A安徽 B北京 C重庆 F福建 G广东 广西 甘肃 贵州 H河南 河北 湖南 湖北 黑龙江 海南 J江苏 江西 吉林 L辽宁 N内蒙古 宁夏 Q青海 S山东 山西 陕西 四川 上海 T天津 X新疆 西藏 Y云南 Z浙江
 ★ 高考信息汇总 ★ 
 ★ 高考历年真题 ★ 
 ★ 高考历年真题 ★ 
 ★ 高考题库 ★ 
 ★ 高考题库 ★ 

电脑版  |  手机版  |  返回顶部