时间:2017-08-09 08:39:01
1、计算题  发电机的输出电压为220 V,输出功率为44 kW,每条输电线电阻为0.2Ω。求用户得到的电压和电功率各是多少?如果发电站先用变压比1:10的升压变压器将电压升高,经同样输电线后用10:1的降压变压器降压后供给用户,则用户得到的电压和电功率各是多少? 
参考答案:解:在用220 V低压直接供电时,电路如图所示 
设此时发电机的输出电压为U0,输出功率为P0
输电电流
输电线上的电压损失△U=Ir线=200×(2×0.2)V=80V 
用户得到的电压U用=U0-△U=220 V-80 V=140 V
损失的电功率△P=I△U=200×80W=16kW
用户得到的功率P用=P0-△P=44kW-16kW=28kW 
在采用高压供电时,电路如图所示,则有 
输电电压
输电电流
输电线上电压损失△U"=I1r线=20×(2×0.2)V=8V
损失功率△P"=I12r线=20×20×(2×0.2)W=160 W
所以降压变压器的输入电压为U2=U1-△U"=2 200 V-8 V=2192 V 
设降压变压器原、副线圈匝数分别为n1、n3,用户得到的电压为U3,由 得用户得到的电压
得用户得到的电压 2192V=219.2 V
2192V=219.2 V 
用户得到的功率P用"=P0-△P"=4.4×104 W-160 W=43 840W
本题解析:
本题难度:困难
2、选择题  2008年1月10日开始的低温雨雪冰冻造成我国部分地区严重灾害,其中高压输电线因结冰而损毁严重.此次灾害牵动亿万人的心.为消除高压输电线上的凌冰,有人设计了这样的融冰思路:利用电流的热效应除冰。若在正常供电时,高压线上送电电压为U,电流为I,热耗功率为△P;除冰时,输电线上的热耗功率需变为9△P,则除冰时(认为输电功率和输电线电阻不变)(  )
A.输电电流为3I
B.输电电流为9I
C.输电电压为 U
U 
D.输电电压为3U
参考答案:AC
本题解析:
本题难度:一般
3、选择题  随着我国远距离高压输电网络的迅猛发展,我国正在研究比330KV还要高得多的电压进行输电,采用高压输电的优点是( ? )
A.可加快输电的速度 
B.使我们的家庭生活用电获得高压 
C.可以根据需要调节交变电流的频率
D.有利于减少输电线上的能量损失
参考答案:D
本题解析:
本题难度:简单
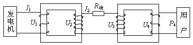
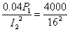
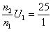
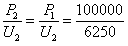
4、简答题  发电站通过升压变压器、输电导线和降压变压器把电能输送到用户,如果升压变压器和降压变压器都可视为理想变压器.
(1)若发电机的输出功率是100kW,输出电压是250V升压变压器的原、副线圈的匝数比为?1:25,求升压变压器的输出电压和输电导线中的电流.
(2)若输电导线中的电功率损失为输入功率的4%,求输电导线的总电阻和降压变压器原线圈两端的电压.
(3)计算降压变压器的输出功率.
参考答案:(1)由理想变压器的电压与匝数关系可得:U1U2=n1n2
即250U出=125
解得:U出=6250V
由I1=P出U出=400A
再理想变压器的电流与匝数关系可得:I1I2=n2n1
解得:I2=16A
(2)由题意可知:P损=P出4%=4000W
而P损=I22R
由于R=1258Ω
则U损=I2R=250V
U3=6250-250=6000V
(3)所以P出=100×103×96%=96KW
答:(1)则升压变压器的输出电压6250V和输电导线中的电流16A.
(2)若则输电导线的总电阻1258Ω和降压变压器原线圈两端的电压6000V.
(3)降压变压器的输出功率为96KW.
本题解析:
本题难度:一般
5、选择题  某发电厂通过远距离向某学校输电,输送的电功率为P,当输电线的电阻和输送的电功率不变时,则下列说法正确的是 (  ).
A.输送的电压越高,输电线路上损失的电压越大
B.输电线路上损失的电压与输送电流成正比
C.输电线路上损失的功率跟输送电压的平方成正比
D.输电线路上损失的功率跟输送电压的平方成反比
参考答案:BD
本题解析:设输电电压为U,线路电阻为R,由P=UI得输电电流I= ,则损失电压为U损=IR=
,则损失电压为U损=IR= ,A错,B对.线路上损失的功率P损=I2R=
,A错,B对.线路上损失的功率P损=I2R= 知C错 ,D对.
知C错 ,D对.
本题难度:简单