时间:2017-08-09 08:39:01
1、计算题 某小型发电站的发电机输出交流电压为5
00 V,输出电功率为50 kW,如果用电阻
为3
Ω的输电线向远处用户送电,这时用户获得的电压和电功率是多少?假如,要求输电线上损失的电功率是输送功率的0.6%,则发电站要安装一个升压变压器,到达用户前再用降压变压器变为220 V供用户使用,不考虑变压器的能量损失,这两个变压器原、副线圈的匝
数比各是多少?
参考答案:
解:用500 V电压送电时示意图如图所示
50 kW的电功率在输电线上的电
流I0=
A=100 A
用户获得电压U1=U0-I0R=(500-100×3) V=200 V
用户获得的功率P1=I0U1=2×104 W
改用高压输送时示意图如图所示,要求P损=0.6%P,即P损=50×103×0.6% W=300 W
输电电流I=
A=10 A
发电站升压后输电电压U=
V=5000 V
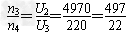
升压变压器匝数比
输电线上损失的电压U"=IR=10×3 V=30 V
降压变压器的输入电压U2=U-U"=(5000-30)V=4970 V
降压变压器的匝数比
本题解析:
本题难度:一般
2、选择题 输电导线的电阻为R,输送电功率为P.现在分别用U1和U2两种串压来输电,则两次输电线上损失的功率之比为
[? ]
A.U1:U2?
B.
?
C.
?
D.U2:U1
参考答案:C
本题解析:
本题难度:一般
3、选择题 远距离输送一定功率的交流电,若输电线电阻一定,容抗和感抗可忽略不计,下列哪些说法是正确的( ?)
A.输电线上损失的电压跟输电电压成正比
B.输电线上损失的功率跟输电电压成反比
C.输电线上损失的功率跟输电电压的平方成反比
D.输电线上损失的功率跟输电线上电压损失的平方成正比
参考答案:CD
本题解析:当输电线的电阻和输送的电功率不变时,根据
,知输送电压越高,输电线上的电流越小,根据
,输电线上损失的电压越小.即成反比,故A错误.
根据
,
,得
,输电线路上损失的功率跟输送电压的平方成反比.C正确;B错误;
根据公式
可得输电线上损失的功率跟输电线上电压损失的平方成正比,D正确;
故选CD
点评:解决本题的关键知道输送的电功率
,输送功率一定,输电电压越大,输送电流越小.以及知道输电导线总电阻R两端的电压等于损失的电压.
本题难度:一般
4、选择题 如图是通过变压器降压给用户供电的示意图.变压器输入电压是市区电网的电压,负载变化时输入电压不会有大的波动.输出电压通过输电线输送给用户,输电线的电阻用R0表示,开关S闭合后,相当于接入电路中工作的用电器增加.如果变压器上的能量损失可以忽略,则关于开关S闭合后,以下说法正确的是( ? )
A.电表V1示数不变,V2示数减小
B.电表A1、A2示数均增大
C.原线圈输入功率减小
D.电阻R1两端的电压减小
参考答案:BD
本题解析:
本题难度:一般
5、选择题 远距离输电时,在输送的电功率和输电线电阻一定的条件下,输电线上损失的电功率( )
A.与输电电压成正比
B.与输电电压的平方成正比
C.与输电电压成反比
D.与输电电压的平方成反比
参考答案:D
本题解析:
本题难度:一般