时间:2017-08-08 08:32:17
1、计算题 如图所示,斜面和水平面由一小段光滑圆弧连接,斜面的倾角为37 °,一质量为0.5kg的物块从距斜面底端B点5m处的A点由静止释放.已知物块与水平面和斜面的动摩擦因数均为0.3。 (sin37 °=0.6,cos37 °=0.8,g=10m/s2)
(1)物块在水平面上滑行的时间为多少?
(2)若物块开始静止在水平面上距B点10m 的C点处,用大小为4.5N的水平恒力向右拉该物块,到B点撤去此力,物块第一次到A点时的速度为多大?
(3)若物块开始静止在水平面上距B点10m 的C点处,用大小为4.5N的水平恒力向右拉该物块,欲使物块能到达A点,水平恒力作用的最短距离为多大?
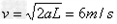
参考答案:解:(1)物块先沿斜面匀加速下滑,
设AB长度为L,动摩擦因数为
下滑的加速度
到达B点时速度
?
在水平面上物块做匀减速运动
?
在水平面上运动的时间
?
(2)设CB距离为
,全过程用动能定理:
?
解得:
?
(3)设力作用的最短距离为
,根据动能定理可得:
?
解得:
本题解析:
本题难度:一般
2、计算题 有一质量为0.2kg的物块,从长为4m,倾角为30°光滑斜面顶端处由静止开始沿斜面滑下,斜面底端和水平面的接触处为很短的圆弧形,如图所示,物块和水平面间的滑动摩擦因数为0.2。求:
(1)物块在水平面能滑行的距离;
(2)物块克服摩擦力所做的功。(g取10m/s2) 
参考答案:(1)10m
(2)4J
本题解析:
本题难度:一般
3、选择题 在离地H高处,?一人水平抛出一个质量为m的物体,?当落到离地h高处,?物体的速度变为v,?则物体被抛出时动能是
A.
mv2+mgh
B.
mv2+mgh-mgH
C.mgH-
mv2
D.
mv2-mgh+mgH
参考答案:D
本题解析:平抛运动机械能守恒。EK+mgH=
+mgh,所以D正确。
本题难度:简单
4、计算题 如图所示,质量均为m、可视为质点的A、B两物体紧挨着放在水平面上的O点,左边有竖直墙壁M,右边在P点与光滑的、半径为R的
圆弧槽相连,MO=ON=R。A物体与水平面间的摩擦力忽略不计,B物体与水平面间的动摩擦因数为0.5。开始时两物体静止。现让A物体以初速度
向左开始运动,设A与竖直墙壁、A与B均发生无机械能损失的碰撞。已知重力加速度为g。要使B物体第一次被A碰撞后,恰能上升至圆弧槽最高点P点,求:
(a)A物体的初速度
为多少?
(b)B物体最终停在何处?
参考答案:(a)
?(b)
本题解析:(a)因A 、B相互作用时无机械能损失同时动量也守恒,故A、B碰撞是一定在O点进行且速度互换。?(3分)
要使B物体恰能上升至圆弧最高点P点,求A物体的初速度,即是求B物体在O点向右出发的速度。对B物体从O点至P点,由动能定理得:
?(2分)
解之得?
?(1分)
(b)若
不变,设B物体在ON间运动的总路程为s
对B物体用动能定理:
?(2分)
所以?
故B物体最终停在N点。?(1分)
本题难度:简单
5、选择题 一个质量为m的小铁块沿半径为R的固定半圆轨道上边缘由静止滑下,到半圆底部时,轨道所受压力为铁块重力的1.5倍,则此过程中铁块损失的机械能为?

[? ]




参考答案:D
本题解析:
本题难度:一般