时间:2017-08-07 15:01:38
1、选择题 如图所示,重物与人质量相等,开始时重物与人处于同一水平高度.当人从静止开始沿绳加速向上爬时,不计绳的质量和滑轮摩擦,人与重物的运动情况是 (?)
A.人加速上升,重物加速下降
B.人加速上升,重物静止不动
C.人与重物都加速上升,但人上升得快
D.人和重物都加速上升,同时到顶
参考答案:D
本题解析:人加速向上爬时,人对绳子的拉力大于人的重力,对于物体来说拉力也大于它的重力,物体会加速向上运动;由于人和物体质量相等,合外力相等,则加速度也相等,运动时间相同,同时到达顶端。
故选D
点评:偏易。注意人加速上爬时,人和绳子之间有相对运动。
本题难度:简单
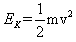
2、计算题 初中物理第二册《机械能》第一节告诉我们:物体由于运动而具有的能叫动能,动能的表达式
。质量m=1kg的物体,在水平拉力F的作用下,沿粗糙水平面运动,经过位移4m时,拉力F停止作用,运动到位移是8m时物体停止。运动过程中
的图线如图所示(
的表达式:
),g取l0m/s2。求:
(1)物体初速度的大小;
(2)物体和水平面间的动摩擦因数;
(3)物体运动的总时间。
参考答案:(1)2m/s
(2)0.2
(3)10/3s
本题解析:
本题难度:困难
3、填空题 如图所示,两个质量各为m1和m2的小物块甲和乙,分别系在一条跨过定滑轮的轻绳两端,已知,m1:m2=3:1,不计摩擦,g=10m/s2,则甲乙运动时加速度的大小为______m/s2.
参考答案:对A、B整体分析,有:a=m1g-m2gm1+m2=2m2g4m2=12g=5m/s2.
故答案为:5m/s2.
本题解析:
本题难度:一般
4、计算题 如图所示,光滑水平面上静止放置着一辆平板车A。车上有两个小滑块B和C(都可视为质点),B与车板之间的动摩擦因数为μ,而C与车板之间的动摩擦因数为2μ。开始时B、C分别从车板的左、右两端同时以大小相同的初速度v0相向滑行。经过一段时间,C、A的速度达到相等,此时C和B恰好发生碰撞。已知C和B发生碰撞时两者的速度立刻互换,A、B、C三者的质量都相等,重力加速度为g。设最大静摩擦力大小等于滑动摩擦力。
(1)求开始运动到C、A的速度达到相等时的时间;
(2)求平板车平板总长度;
(3)已知滑块C最后没有脱离平板,求滑块C最后与车达到相对静止时处于平板上的位置。 
参考答案:解:(1)设A、B、C三者的质量都为m,从开始到C、A的速度达到相等这一过程所需时间为t
对C,由牛顿定律和运动学规律有
,
对A,由牛顿定律和运动学规律有
,
,
联立以上各式联得
(2) 对C,
对B,由牛顿定律和运动学规律有
,
,
C和B恰好发生碰撞,有
解得:
(3)对A,
A、B、C三者的位移和末速度分别为
(向左),
(向右),
(向左)
(向左),
(向右)
C和B发生碰撞时两者的速度立刻互换,则碰撞后C和B的速度各为
(向右),
(向左)
碰撞后B和A的速度相等,设B和A保持相对静止一起运动,此时对B和A整体有
隔离B,则B受到的摩擦力为
可得
,说明B和A保持相对静止一起运动
设C最后停在车板上时,共同的速度为vt,由动量守恒定律可得
可得vt=0
这一过程,对C,由动能定理有
对B和A整体,由动能定理有
解得C和A的位移分别是
(向右),
(向左)
这样,C先相对于车板向左移动
,然后又相对于车板向右移动
,恰好回到原来的位置,即滑块C最后停在车板右端
本题解析:
本题难度:困难
5、选择题 一个物体保持静止或匀速直线运动状态不变,这是因为?
A.物体一定没有受到任何力
B.物体一定受一对平衡力的作用
C.物体所受合外力一定为零
D.物体可能受一对平衡力的作用
参考答案:CD
本题解析:本题考查力与运动的关系,力决定运动,运动反映受力,如果物体保持静止或匀速运动状态则物体受力一定平衡,合外力一定为零,但可能受到几对平衡力的作用,CD对;
本题难度:简单