时间:2017-08-05 17:33:37
1、选择题 带电粒子以速度υ从两平行金属板形成的匀强电场的正中间垂直电场射入,恰穿过电场而不碰到金属板,欲使入射速度为υ/2的同一粒子也恰好穿过电场不碰到金属板,则必须:
A.使两板间的距离减为原来的1/4
B.使两板间的电压减为原来的1/4
C.使两板间的电压减为原来的1/2
D.使两板间的距离减为原来的1/2
参考答案:B
本题解析:带电粒子进入电场后做的是类平抛运动,因此
,当入射速度变为υ/2也恰好穿过电场不碰到金属板,则竖直偏移量d不变,由公式可知B对;ACD错
点评:难度中等,本题也考查了学生对公式的推导和判断能力,根据类平抛运动规律列公式推导即可
本题难度:一般
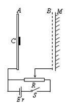
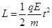
2、计算题 (18分)如图所示,在铅版A上放一个放射源C可向各个方向射出速率为v的β射线,B为金属网,A、B连接在电路上,电源电动势为
,内阻为r,滑动变阻器总阻值为R.图中滑动变阻器滑片置于中点,A、B间距为d,M为荧光屏(足够大),它紧挨者金属网外侧,已知β粒子的质量为m,电荷量e,不计β射线所形成的电流对电路的影响, 求:
(1)闭合开关S后,AB间的场强的大小是多少?
(2)β粒子到达金属网B的最长时间?
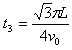
(3)切断开关S,并撤去金属网B,加上垂直纸面向内、范围足够大的匀强磁场,磁感应强度大小为B,设加上B后β粒子仍能到达荧光屏。这时在竖直方向上能观察到荧光屏亮区的长度是多?
参考答案:(1)
(2)
(3)
本题解析:(1)由闭合电路欧姆定律得:
?1分
?1分
AB间的电场是匀强电场,得到:
? 2分
(2) β粒子在两板间运动只受电场力作用,其加速度为
? 2分
分析可知,沿A板方向射出的β粒子做类似平抛运动到达B板所用时间最长
根据:
?2分
所以
? 2分
(3)β粒子垂直进入磁场只受洛伦兹力做匀速圆周运动有:
?2分
得
?1分
荧光亮斑区的上边界就是沿A板射出的β粒子所达的a点
有:
? 1分
? 1分
荧光亮斑区的下边界就是β粒子轨迹与屏相切的C点
根据轨迹图有:
? 1分
在竖直方向上亮斑区的长度为:
? 2分
本题难度:一般
3、计算题 两块平行金属板MN、PQ水平放置,板长为L,两板间距离为
L。在紧靠平行板右侧的正三角形区域内存在着垂直于纸面的匀强磁场,三角形底边BC与PQ在同一水平线上,顶点A与MN在同一水平线上,如图所示。一个质量为m、电荷量为+q的粒子沿两板间中心线以初速度v0水平射入,若在两板间加某一恒定电压,粒子离开电场后恰好垂直于AB边进入磁场,并垂直于AC边射出。不计粒子的重力,整个装置都处于真空中。求:
(1)两极板间的电压的大小;
(2)三角形区域内的磁感应强度的大小;
(3)粒子从开始进入电场到从AC边射出经历的时间。 
参考答案:解:(1)运动的水平位移L=v0t1
分解电场中类平抛的末速度可得
由牛顿第二定律得
解得
(2)粒子运动的轨迹如图所示
磁场中,
,即
由几何关系可确定半径AD长度为
进入磁场的速度v满足v0=vcos30°
解得
(3)粒子在电场中的偏转时间
粒子飞出电场到刚要进磁场的过程中做匀速直线运动,这个过程位移的水平分量为
所用时间
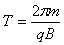
粒子在磁场中的运动时间
而运动周期
,解得
所以总的运动时间为
本题解析:
本题难度:困难
4、计算题 (10分)如下图示匀强电场宽度为L,一带电粒子质量为m,带电荷量为+q,从图中A点以V0垂直于场强方向进入匀强电场,若经电场偏转后粒子从B点飞出,B点到入射线距离也为L。不计粒子重力。
求 ①A、B两点间电势差UAB
②粒子飞出B点时的速度
参考答案:(1)
(2)
,
本题解析: (1)粒子做类平抛运动,在水平方向上做匀速直线运动,即有
在竖直方向上做初速度为零的匀加速直线运动,故有
?(1)
根据公式
可得
?(2)
联立可得
? (3)
(2)粒子在电场力方向上的分速度设为
.根据匀变速直线运动规律可得:
?(4)
? (5 )
联立可得
?
?
B点速度与水平方向的夹角设为
?,由矢量合成法则可得:
本题难度:一般
5、计算题 (12分)如图所示,在相距为L,长为3L的平行金属板中间区域存在正交的匀强电场和匀强磁场,磁感应强度为B(方向未画),电场方向竖直向下。有一群均匀分布的同种带电粒子,以相同速度从两板间水平射入,经过时间t,粒子沿直线穿过该区域。若在粒子进入板间时,撤去电场保留磁场,粒子恰好全部打在板上。不计粒子的重力,不考虑粒子之间的相互作用,粒子对原来电场和磁场的影响不计。试求:
(1)该区域电场强度E大小;
(2)该粒子的比荷q/m ;
(3)若粒子进入时撤去磁场保留电场,则射出该区域的粒子数为总数的多少?
参考答案:(1)E=3BL/t (2)q/m=3/5Bt (3)只有10%的粒子能射出电场区域
本题解析:(1)由题意可知:
粒子通过速度选择器
结合上面式子可知E=3BL/t
(2)若只有磁场存在时,恰好全部粒子落在极板上,
由勾股定理R2=(3L)2+(R-L)2
得到:R=5L 洛仑兹力提供向心力
代入可得:q/m=3/5Bt
(3)若撤去磁场,保留电场,即粒子做类平抛运动,
Eq=ma 代入可得:y=0.9L
即只有10%的粒子能射出电场区域
考点:带电粒子在复合场中的运动、带电粒子在电场中的运动、带电粒子在匀强磁场中的运动
本题难度:困难