时间:2017-08-05 17:28:03
1、计算题 如图所示PQ、MN为足够长的两平行金属导轨,它们之间连接一个阻值
的电阻;导轨间距为
,电阻
,长约
的均匀金属杆水平放置在导轨上,它与导轨的滑动摩擦因数
,导轨平面的倾角为
在垂直导轨平面方向有匀强磁场,磁感应强度为
,今让金属杆AB由静止开始下滑从杆静止开始到杆AB恰好匀速运动的过程中经过杆的电量
,求
(1)当AB下滑速度为
时加速度的大小;
(2)AB下滑的最大速度;
(3)从静止开始到AB匀速运动过程R上产生的热量。
参考答案:解:(1)取AB杆为研究对象其受力如图示建立如图所示坐标系
①?
②
③?
④?
⑤?
⑥
联立上面①②③④⑤⑥解得
当
时
(2)由上问可知
故AB做加速度减小的加速运动
当
,
(3)从静止开始到运速运动过程中
⑦?
⑧?
⑨
联立⑦⑧⑨可知
而

设两电阻发热和为
,由能量守恒可知
⑩?
⑾
联立⑩⑾得
本题解析:
本题难度:困难
2、选择题 如图所示,在长直导线中有恒电流I通过,导线正下方电子初速度v0方向与电流I的方向相同,电子将( )
A.沿路径a运动,轨迹半径越来越小
B.沿路径a运动,轨迹半径越来越大
C.沿路径b运动,轨迹半径越来越小
D.沿路径b运动,轨迹半径越来越大
参考答案:根据右手螺旋定则知,直线电流下方的磁场方向垂直纸面向外,根据左手定则知,电子所受的洛伦兹力方向向下,则粒子沿路径b运动,根据r=mvqB知,离导线越远,磁感应强度越小,则轨迹的半径越来越大.故D正确,A、B、C错误.
故选:D.
本题解析:
本题难度:简单
3、选择题 如图所示,平行金属导轨与水平面成θ角,导线与固定电阻R1和R2相连,匀强磁场垂直穿过导轨平面.有一导体棒ab,质量为m,长度为L,导体棒的电阻与固定电阻R1和R2的阻值相等,都等于R,导体棒与导轨之间的动摩擦因数为μ,导体棒ab沿导轨向上滑动,当上滑的速度为v时,有 
[? ]
A.棒中感应电流的方向由a到b
B.棒所受安培力的大小为
C.棒两端的电压为
D.棒动能的减小量等于其重力势能的增加量与电路上产生的电热之和
参考答案:AC
本题解析:
本题难度:一般
4、计算题 (12分)如图所示,足够长的光滑导轨ab、cd固定在竖直平面内,导轨间距为l,b、c两点间接一阻值为R的电阻。ef是一水平放置的导体杆,其质量为m、有效电阻值为R,杆与ab、cd保持良好接触。整个装置放在磁感应强度大小为B的匀强磁场中,磁场方向与导轨平面垂直。现用一竖直向上的力拉导体杆,使导体杆从静止开始做加速度为
的匀加速运动,g为重力加速度,不计导轨电阻及感应电流间的相互作用。求:
⑴导体杆上升h高度的过程中通过电阻
的电量;
⑵设导体杆从
=0时刻由静止开始运动,试推导出导体杆所受拉力
随时间变化的关系式。
参考答案:(1)
(2)
本题解析:
?
本题难度:一般
5、计算题 (16分)足够长的光滑平行金属导轨
和
水平放置,在其左端固定一个倾角为
的光滑金属导轨,导轨相距均为
,在水平导轨和倾斜导轨上,各有一根与导轨垂直的金属杆,两金属杆与水平导轨、倾斜导轨形成—闭合回路。两金属杆质量均为
、电阻均为
,其余电阻不计,杆
被销钉固定在倾斜导轨某处。整个装置处于匀强磁场中,磁感应强度为
,方向竖直向上。当用水平向右、大小
的恒力拉杆
,使其达到最大速度时,立即撤去销钉,发现杆
恰好能在原处仍然保持静止。(重力加速度为
)
(1)求杆
运动中的最大速度
。
(2)求倾斜导轨的倾角
。
(3)若杆
加速过程中发生的位移为
,则杆
加速过程中,求杆
上产生的热量
。
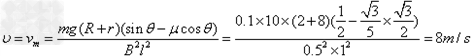
参考答案:(1)
(2)
(3)
本题解析:(1)对杆a,匀速运动时:
(2分)
杆a产生的电动势
(2分)
回路电流
(2分)解得:
(2分)
(2)对杆b:
解得:
(2分)
(3)对系统,由能量守恒定律得:
(2分)
(2分)解得:
(2分)
本题难度:一般