高考物理知识点总结《弹力》高频试题预测(2017年最新版)(七)

时间:2017-08-05 17:09:56

微信搜索关注"91考试网"公众号,领30元,获取事业编教师公务员等考试资料40G

1、填空题  一个实验小组在“探究弹力和弹簧伸长的关系”的实验中,使用两条不同的轻质弹簧a和b,得到弹力与弹簧长度的图象如图所示.下列表述正确的是(  )
A.a的原长比b的长
B.a的劲度系数比b的大
C.a的劲度系数比b的小
D.测得的弹力与弹簧的长度成正比
91考试网


参考答案:A、在图象中横截距表示弹簧的原长,故b的原长比a的长,故A错误
? B、在图象中斜率表示弹簧的劲度系数k,故a的劲度系数比b的,故B正确
? C、同理C错误
? D、弹簧的弹力满足胡克定律,弹力与弹簧的形变量成正比,故D错误
故选B


本题解析:


本题难度:一般



2、实验题  某学校的物理实验兴趣小组利用单摆和一个深度未知的小筒设计了如下实验来测量当地的重力加速度及小筒深度。将组装好的单摆竖直悬挂于开口向下的小筒中(单摆的下部分露于筒外),如图甲所示,用毫米刻度尺测出筒外悬线的长度l,然后将悬线拉离平衡位置一个小角度后由静止释放,单摆振动过程中悬线不能碰到筒壁,并通过改变l而测出对应的摆动周期T,再以T2为纵轴.l为横轴作出函数关系图象,那么就可以通过此图象得出小筒的深度h和当地的重力加速度g。
?
(1)在这个实验中,应该选用下列哪些材料组成单摆(?)
A.长约1米的细线
B.长约1米的细铁丝
C.长约1米的 91eXaM.org橡皮条
D.长约0.2米的细丝线
E.直径约为5厘米的钢球
F.直径约为5厘米的泡沫塑料球
G.直径约为1厘米的钢球
H.直径约为1厘米的塑料球
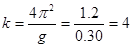
(2)如果实验中所得到的T2—l关系图象如图乙所示,那么真正的图象应该是a、b、c中的_____;
(3)由图象可知,小筒的深度h = ________m;当地g = _____________m / s2。(g值保留3位有效数字)
(4)请你帮助该实验小组分析一下,g值偏小的主要原因是_______________________。


参考答案:(1)AG? (2)a? (3)0.3m? 9.62或9.76
(4)l的测量应该是筒外悬线到小球中心的距离


本题解析:(1)在选择摆线时要选择细、轻、无弹性的细线,长度大约1m左右(2)在实验过程中摆长应该为摆线的长度与小球半径之和,由单摆运动的周期公式,可知当l=0时周期不为零,图像为a图(3)由(2)的分析可以确定,筒的深度为0.30m,a图象的斜率为,所以当地的重力加速度为9.86m/s2.
(4)实验过程中摆线的真是摆长为筒外悬线到小球中心的距离,所以实验中的摆长偏大,所测量出来的重力加速度偏小
点评:本题实验对摆线和小球的要求一定要牢记,对单摆运动的周期公式要理解并记忆,乙图中三条直线产生的原因都要能够做出判断,能够应用数学方法回答一些问题,所以本实验考查知识点较多,掌握起来觉得会非常零散,难度中等


本题难度:一般



3、选择题  如图所示,光滑斜面的倾角都是a,球的质量都是m,球都用轻绳系住静止在斜面上,甲的悬线与斜面平行,乙的悬线沿水平方向,丙的悬线沿竖直方向,丁的悬线与水平面的夹角大于a。关于球对斜面压力的大小FN有下列说法:①甲图FN一定最大;②乙图FN一定最大;③丙图FN一定为零;④丁图FN可能最小。以上说法正确的有?(?)
A.只有①④
B.只有②③
C.只有①③
D.只有②④


参考答案:B


本题解析:甲:,乙:,丙:。丁:所以B对。


本题难度:简单



4、实验题  (4分)(1)用落体法验证机械能守恒定律的实验,下面测量工具中属于必需的是?
A.天平
B.弹簧秤
C.刻度尺
D.秒表


参考答案:C


本题解析:机械能守恒定律中根据重力势能的减小量等于动能的增加量,速度根据打点计时器中间时刻的瞬时速度等于平均速度求得,质量不需要测量,重力也不需要测量,不需要测量时间,需要测量高度差h大小,C对;


本题难度:简单



5、实验题  (1)在验证力的平行四边形定则实验中,需要将橡皮条的一端固定到水平木板上,另一端系上两根细绳,细绳的末端有绳套,将弹簧秤挂在绳套上,拉动细绳,进行实验,关于实验过程,下列说法正确的是:??
A.两根细绳必须等长;
B.橡皮条应该始终处于两细绳的夹角的角平分线位置;
C.用弹簧秤拉动时,应保持弹簧秤与水平木板良好接触;
D.要使每次合力与分力产生相同的效果,必须将橡皮条与绳子的节点拉到相同位置;
E.只需要记录下两个弹簧秤一起拉动时细绳的方向,秤的示数可以按照平行四边形定则进行确定。
(2)某同学在进行本次实验过程中,进行了如下的探索:先用两个弹簧秤成角度的将橡皮筋拉长至O点(α+β<90°),如图所示;然后保持左侧弹簧秤拉动方向不变,并缓慢的加大拉力,为了维持O点位置不变,β需要?( 选填“变大”、“变小”或者“不变”),右侧弹簧秤示数也会随之变化,变化情况为:?( 选填“一直变大”、“一直变小”、“先变大后变小”、“先变小后变大”)。


参考答案:(1)D;(2)“变大”;“先变大后变小”


本题解析:(1)两根细绳的长短对实验没有影响,A错误;橡皮条拉到适当位置,但不一定在角平分线上,B错误;用弹簧秤拉动时,应保持弹簧秤与水平木板平行,C错误;效果相同,两次必须将橡皮条与绳子的节点拉到相一位置,D正确;记录时应计下,两个弹簧拉动时细绳的方向,秤的示数示数,及O点位置,E错误。
(2)根据三角形法则,由于合力不变,随着左侧拉力越来越大,右侧弹簧的与竖直方向夹角“变大”,拉力大小是“先变小后变大”,当两个力垂直时,右侧拉力最小。


本题难度:一般




首页 上页 6 7 8 下页 尾页 7/10/10
微信搜索关注"91考试网"公众号,领30元,获取公务员事业编教师考试资料40G
【省市县地区导航】【考试题库导航】
 ★ 高考省级导航 ★ 
全国 A安徽 B北京 C重庆 F福建 G广东 广西 甘肃 贵州 H河南 河北 湖南 湖北 黑龙江 海南 J江苏 江西 吉林 L辽宁 N内蒙古 宁夏 Q青海 S山东 山西 陕西 四川 上海 T天津 X新疆 西藏 Y云南 Z浙江
 ★ 高考信息汇总 ★ 
 ★ 高考历年真题 ★ 
 ★ 高考历年真题 ★ 
 ★ 高考题库 ★ 
 ★ 高考题库 ★ 

电脑版  |  手机版  |  返回顶部