高考物理知识点《弹力》高频试题强化练习(2017年最新版)(十)

时间:2017-08-05 17:09:34

微信搜索关注"91考试网"公众号,领30元,获取事业编教师公务员等考试资料40G

1、实验题  (18分)如图是“研究匀变速直线运动”实验中获得的一条纸带,O、A、B、C、D和E为纸带上六个计数点。加速度大小用a表示:

(1)OD间的距离为?cm 。
(2)下图是根据实验数据绘出的图线(为各计数点至同一起点的距离),斜率表示?,其大小为?(保留三位有效数字)。


参考答案:(1)1.20(6分)?(2)加速度的二分之一(6分)? 0.467(6分)


本题解析:(1)图中刻度尺最小刻度为0.1cm,相邻两个最小刻度之间部分需要估读,则可以精确到0.01cm,通过图中刻度尺测量,可以读得1.20cm。(2)该图线表示物体做初速度为0的匀加速直线运动,据可得


本题难度:一般



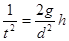
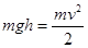
2、实验题  用如图所示实验装置验证机械能守恒定律.通过电磁铁控制的小铁球从A点自由下落,下落过程中经过光电门B时,通过与之相连的毫秒计时器(图中未画出)记录下挡光时间t,测出AB之间的距离h.实验前应调整光电门位置使小球下落过程中球心通过光电门中的激光束.

(1)为了验证机械能守恒定律,还需要测量下列哪些物理量?.
A.A点与地面间的距离H
B.小铁球的质量m
C.小铁球从AB的下落时间tAB
D.小铁球的直径d
(2)小铁球通过光电门时的瞬时速度v=?.若下落过程中机械能守恒,则h的关系式为=?.


参考答案:(1)D(1分)? (2)v=?(2分)?(2分)


本题解析:机械能守恒,验证减少的重力势能是否等于增加的动能,
减少的重力势能可以用mgh表示;
光电门可以记录小铁球的挡光时间,再知道直径,就可以求经过B点时的瞬时速度v=;动能就可以用表示了;选D;



本题难度:简单



3、实验题  如图12甲所示,在“验证力的平行四边形定则”的实验中,某同学进行实验的主要步骤是:将橡皮筋的一端固定在木板上的A点,另一端拴上两根绳套,每根绳套分别挂着一个弹簧测力计,沿着两个方向拉弹簧测力计,将橡皮筋的活动端拉到某一位置,将此位置标记为O点,读取此时弹簧测力计的示数,分别记录两个拉力F1、F2的大小。再用笔在两绳的拉力方向上分别标记a、b两点,并分别将其与O点相连,表示两拉力的方向。再用一个弹簧测力计将橡皮筋的活动端仍拉至O点,记录其拉力F的大小并用上述方法记录其方向。


(1)用一个弹簧测力计将橡皮筋的活动端仍拉至O点,这样做的目的是:?
(2)这位同学在实验中确定分力方向时,图甲所示的a点标记得不妥,其原因是:?
(3)图乙是在白纸上根据实验结果作出力的图示,其中?是应用力的合成的平行四边形定则求出的F1和F2的合力(填:FF’)。


参考答案:(1)合力与分立的作用效果相同
(2)Oa间距太小不妥(确定分力的方向不准确)
(3)F’


本题解析:略


本题难度:简单



4、实验题  在“探究恒力做功与动能改变的关系”实验中,某实验小组采用如图8(甲)的实验装置。

(1)实验时为了保证小车受到的合外力与沙和沙桶的总重力大小基本相等,在沙和沙桶的总质量m与小车的质量M的关系必须满足m << M的同时,实验时首先要做的步骤是?
(2)如图9(乙)为实验中打出的一条纸带,选取纸带中的AB两点来探究恒力做功与动能改变的关系,测出AB两点间距s和速度大小vA、vB。已知砂和砂桶的总质量m,小车的质量M,重力加速度g。则本实验要验证的数学表达式为?。(用题中的字母表示实验中测量得到物理量)。
四、计算题(本题共3小题,共36分)解答应写出必要的文字说明、方程式和重要演算步骤。只写最后答案的不能得分,有数值计算的题,答案中必须明确写出数值和单位。


参考答案:(1)平衡摩擦力?(3分)
(2)mgs =?(3分)


本题解析:略


本题难度:简单



5、选择题  下列说法中不正确的是
A.书放在水平桌面上受到的支持力,是由于书发生了微小形变而产生的
B.用细木棍拨动浮在水中的圆木,圆木受到的弹力是由于细木棍发生形变而产生的
C.绳对物体的拉力方向总是沿着绳而指向绳收缩的方向
D.支持力的方向总是垂直于支持面而指向被支持的物体


参考答案:A


本题解析:书放到桌子上受到支持力,是因为桌子形变产生的,故选项A错误;用细木棍波动圆木,圆木受到的弹力是因为细木棍的形变产生的,故选项B正确;绳子产生的弹力沿着绳子收缩的方向,故选项C正确;根据弹力的概念可知弹力的方向总是垂直于支持面而指向被支持的物体,故选项D正确,所以本题选择A.


本题难度:简单




首页 上页 9 10 下页 尾页 10/10/10
微信搜索关注"91考试网"公众号,领30元,获取公务员事业编教师考试资料40G
【省市县地区导航】【考试题库导航】
 ★ 高考省级导航 ★ 
全国 A安徽 B北京 C重庆 F福建 G广东 广西 甘肃 贵州 H河南 河北 湖南 湖北 黑龙江 海南 J江苏 江西 吉林 L辽宁 N内蒙古 宁夏 Q青海 S山东 山西 陕西 四川 上海 T天津 X新疆 西藏 Y云南 Z浙江
 ★ 高考信息汇总 ★ 
 ★ 高考历年真题 ★ 
 ★ 高考历年真题 ★ 
 ★ 高考题库 ★ 
 ★ 高考题库 ★ 

电脑版  |  手机版  |  返回顶部