时间:2017-08-05 16:49:39
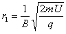
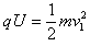
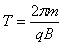
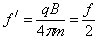
1、计算题 1932年美国物理学家劳伦斯发明了回旋加速器,巧妙地利用带电粒子在磁场中的运动特点,解决了粒子的加速问题。现在回旋加速器被广泛应用于科学研究和医学设备中。某型号的回旋加速器的工作原理如图甲所示,图为俯视图乙。回旋加速器的核心部分为D形盒,D形盒装在真空容器中,整个装置放在巨大的电磁铁两极之间的强大磁场中,磁场可以认为是匀强在场,且与D形盒盒面垂直。两盒间狭缝很小,带电粒子穿过的时间可以忽略不计。D形盒半径为R,磁场的磁感应强度为B。设质子从粒子源A处时入加速电场的初速度不计。质子质量为m、电荷量为+q。加速器接一定涉率高频交流电源,其电压为U。加速过程中不考虑相对论效应和重力作用。
(1)求质子第1次经过狭缝被加速后进入D形盒运动轨道的半径r1;
(2)求质子从静止开始加速到出口处所需的时间t;
(3)如果使用这台回旋加速器加速α粒子,需要进行怎样的改动?请写出必要的分析及推理。
? 
参考答案:解:(1)设质子第1次经过狭缝被加速后的速度为v1
?①
?②
联立①②解得:
(2)设质子从静止开始加速到出口处被加速了n圈,质子在出口处的速度为v
?③
?④
?⑤
?⑥
联立③④⑤⑥解得
(3)回旋加速器正常工作时高频电压的频率必须与粒子回旋的频率相同。设高频电压的频率为f,则
当速α粒子时α粒子的比荷为质子比荷的2倍,
,所以不用直接使用
改动方法一:让回旋磁场的磁感应强度加倍
改动方法二:让加速高频电压的频率减半
本题解析:
本题难度:困难
2、选择题 如图是质谱仪的工作原理示意图.带电粒子被加速电场加速后,进入速度选择器。速度选择器内相互正交的匀强磁场和匀强电场的强度分别为B和E,平板S上有可让粒子通过的狭缝P和记录粒子位置的胶片A1A2.平板S下方有磁感应强度为B0的匀强磁场.下列说法正确的是( ? ?)
A.速度选择器中的磁场方向垂直纸面向里
B.能通过狭缝P的带电粒子的速率等于B / E
C.比荷(q/m)越大的粒子打在胶片上的位置越靠近狭缝P
D.粒子从P点运动到胶片A1A2的时间为2πm/qB0
参考答案:C
本题解析:A、假设带电粒子带正电,在速度选择器中受向右的电场力,根据二力平衡可知受向左的洛伦兹力,根据左手定则判定,速度选择器中的磁场方向垂直纸面向外;错误
B、由于
,所以带电粒子的速率
;错误
C、根据
可知,
,所以比荷(q/m)越大的粒子半径越小,打在胶片上的位置越靠近狭缝P;正确
D、粒子在磁场中做圆周运动的周期
,所以粒子从P点运动到胶片
的时间为
;错误
故选C
点评:速度选择器的电场和磁场的大小和方向关系是一定的,必须满足电场力的洛伦兹力等大方向才行。质谱仪是一种很好的分析同位素的仪器。
本题难度:一般
3、选择题 下图是质谱仪工作原理的示意图。带电粒子a、b经电压U加速(在A点初速度为零)后,进入磁感应强度为B的匀强磁场做匀速圆周运动,最后分别打在感光板S上的x1、x2处。图中半圆形的虚线分别表示带电粒子a、b所通过的路径,则?
A.a的质量一定大于b的质量
B.a的电荷量一定大于b的电荷量
C.a运动的时间大于b运动的时间
D.a的比荷大于b的比荷
参考答案:D
本题解析:带电粒子加速得
,进入磁场,做圆周运动,
,
则
,x1< x2,则a的比荷大于b的比荷,无法判断出质量及电荷量的关系,AB错误、D正确;由a的比荷大于b的比荷,
知,a运动的速度大于b运动的速度,加速时间相等,圆周运动的圆弧a小于b,则a运动的时间小于b运动的时间,C错误。
本题难度:简单
4、简答题 在D型盒回旋加速度器中,高频交变电压(假设为右图所示的方形波)加在a板和b板间,带电粒子在a、b间的电场中加速,电压大小为U=800V,在匀强磁场中做匀速圆周运动,磁感应强度大小B=0.628T,a板与b板间的距离d=0.1mm,被加速的粒子为质子,质子的质量约为m=1.6×10-27kg,电荷量为q=1.6×10-19C.t=0时刻,静止的质子从靠近a板的P点开始第1次加速,t=T/2时刻恰好第2次开始加速,t=T时刻恰好第3次开始加速,…,每隔半个周期加速一次.(每一次加速的时间与周期相比可以忽略,不考虑相对论中因速度大而引起质量变化的因素)
(1)求交变电压的周期T.
(2)求第900次加速结束时,质子的速度多大?
(3)虽然每一次的加速时间可以忽略,但随着加速次数的增多,在电场中运动的时间累积起来就不能忽略了.求第n次完整的加速过程结束时质子在ab间电场中加速运动的总时间t(用相关物理量的字母符号如U、d…表示,不需代入数值)
参考答案:
(1)交变电压的周期T恰等于质子在磁场中圆周运动的周期,即
T=2πmqB①
代入得T=2×3.14×1.6×10-271.6×10-19×0.628s=1.0×10-7s?②
(2)对900次加速的整个过程应用动能定理
NqU=12mV2③
得V=
本题解析:
本题难度:一般
5、计算题 如图所示,带电粒子进入匀强磁场,垂直穿过均匀铝板,如果R1=20cm,R2=19cm,求带电粒子能穿过铝板多少次。(设铝板对粒子的阻力恒定,粒子的电量不变) 
参考答案:10次
本题解析:
本题难度:困难