时间:2017-07-31 08:55:29
1、选择题 不定项选择
两个物体质量分别为m1和m2,它们与水平面间的动摩擦因数分别为μ1和μ2,开始时弹簧被两个物体压缩后用细线拉紧,如图所示,当烧断细线时,被压缩的弹簧弹开的两物体可以脱离弹簧,则( ? ?)

=
时,弹开过程中系统动量守恒 参考答案:B
本题解析:
本题难度:一般
2、计算题 (10分)如图所示,AB为倾角θ=37° 的粗糙斜面轨道,通过一小段光滑圆弧与光滑水平轨道BC相连接,质量为2m的小球乙静止在水平轨道上,质量为m的小球甲以速度v0与乙球发生弹性正碰。若轨道足够长,两球能发生第二次碰撞,求乙球与斜面之间的动摩擦因数μ的取值范围。
(sin37°=0.6,cos37°=0.8)
参考答案:μ<0.45
本题解析:
两球相碰时由动量守恒定律可得:
由能量关系:
对乙球,由动能定理可得:
对甲球,由动能定理可得:
两球能发生第二次碰撞,则满足v3>
解得:μ<0.45
考点:动量守恒定律及能量守恒定律.
本题难度:一般
3、选择题 如图所示,与轻弹簧相连的物体A停放在光滑的水平面上。物体B沿水平方向向右运动,跟与A相连的轻弹簧相碰。在B跟弹簧相碰后,对于A、B和轻弹簧组成的系统,下列说法中不正确的是(?)
A.弹簧压缩量最大时,A、B的速度相同
B.弹簧压缩量最大时,A、B的动能之和最小
C.弹簧被压缩的过程中系统的总动量不断减小
D.物体A的速度最大时,弹簧的弹性势能为零
参考答案:C
本题解析:B的速度先比A大 后比A小 A、B的速度相同时 弹簧的压缩量最大 然后B会继续减速 A加速,A正确;整个系统外力之和为零 总能量不变 弹簧压缩量最大时?弹性势能最大 动能最小 就是A、B的动能之和最小,B正确;整个系统外力之和为零 所以系统动量守恒 总动量不变,C错误;物体A的速度最大时 弹簧没有内压缩 否则A会继续加速,D正确;故选C
点评:关键是根据两物体的速度变化,判断弹簧的压缩程度
本题难度:一般
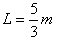
4、简答题 如图5-6所示浮动起重机从岸上吊起m=2t的重物。开始时浮吊起重杆OA与竖直方向成60°角,当转至杆与竖直方向成30°角时,求起重机的水平方向的位移。设浮吊质量为20t,起重杆长l=8m,水的阻力与杆重均不计。
参考答案:起重机的水平向左的位移为0.266m
本题解析:浮吊与重物组成的系统水平方向不受外力,动量守恒且初总动量为零,为一人船模型,则:
解得x=0.266m,即起重机的水平向左的位移为0.266m。
本题难度:简单
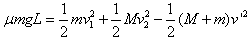
5、计算题 如图所示,光滑水平面上放置质量均为M=2 kg的甲、乙两辆小车,两车之间通过一感应开关相连(当滑块滑过感应开关时,两车自动分离),甲车上表面光滑,乙车上表面与滑块P之间的动摩擦因数μ=0.5。一根通过细线拴着且被压缩的轻质弹簧固定在甲车的左端,质量为m=1 kg的滑块P(可视为质点)与弹簧的右端接触但不相连,此时弹簧的弹性势能E0=10 J,弹簧原长小于甲车长度,整个系统处于静止状态。现剪断细线,求:
(1)滑块P滑上乙车前的瞬时速度的大小;
(2)滑块P滑上乙车后最终未滑离乙车,滑块P在乙车上滑行的距离。(取g=10m/s2)
参考答案:解:(1)设滑块P滑上乙车前的速度为v1,对整体应用动量守恒和能量关系有
mv1-2Mv2=0
解之得v1=4 m/s,v2=1 m/s
(2)设滑块P和小车乙达到的共同速度v",对滑块P和小车乙有
mv1-Mv2=(m+M)v" 
代入数据解得
本题解析:
本题难度:一般