时间:2017-07-31 08:18:15
1、选择题 不定项选择
物体A和B在光滑的水平面上相向运动,它们的初动能之比EkA:EkB = 4:1,两者相遇后发生正碰。它们在碰撞的过程中,动能同时减小到零,又同时增大,最后两者反向运动,则两物体的质量之比mA:mB为( ? )
A.1:1
B.4:1
C.1:4
D.1:16
参考答案:C
本题解析:
本题难度:一般
2、选择题 不定项选择
甲、乙两球在光滑水平面上同一直线同一方向上运动,它们动量p甲=5kg.m/s,p乙=7kg.m/s,已知甲球速度大于乙球速度,当甲球与乙球碰后,乙球动量变为10kg·m/s,则m甲,m乙关系可能是( ? )
A.5m甲=m乙
B.10m甲=m乙
C.m甲=m乙
D.2m甲=m乙
参考答案:A
本题解析:
本题难度:一般
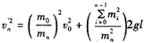
3、计算题 雨滴在穿过云层的过程中,不断与漂浮在云层中的小水珠相遇并结合为一体,其质量逐渐增大。现将上述过程简化为沿竖直方向的一系列碰撞。已知雨滴的初始质量为m0,初速度为v0,下降距离l后与静止的小水珠碰撞且合并,质量变为m1。此后每经过同样的距离l后,雨滴均与静止的小水珠碰撞且合并,质量依次变为m2、m3……mn……(设各质量为已知量)不计空气阻力。
(1)若不计重力,求第n次碰撞后雨滴的速度v"n;
(2)若考虑重力的影响,
a.求第1次碰撞前、后雨滴的速度v1和v"1;
b.求第n次碰撞后雨滴的动能1/2mnv"n2。
参考答案:解:(1)不计重力,全过程中动量守恒,m0v0=mnv"n
得
(2)若考虑重力的影响,雨滴下降过程中做加速度为g的匀加速运动,碰撞瞬间动量守恒
a.第1次碰撞前
?
第1次碰撞后m0v1=m1v"1
? ①
b.第2次碰撞前v22=v12+2gl
利用①式化简得
? ②
第2次碰撞后,利用②式得
同理,第3次碰撞后
……
第n次碰撞后
动能
本题解析:
本题难度:困难
4、填空题 a、b两个小球在一直线上发生碰撞,它们在碰撞前后的S-t图象如图所示,若a球的质量ma=1kg,则b球的质量mb等于??㎏
参考答案:2.5
本题解析:略
本题难度:简单
5、计算题 一个物体静置于光滑水平面上,外面扣一质量为M的盒子,如图1所示。现给盒子一初速度v0,此后,盒子运动的v-t图象呈周期性变化,如图2所示。请据此求盒内物体的质量。
参考答案:解:设物体的质量为m,t0时刻受盒子碰撞获得速度v,根据动量守恒定律
Mv0=mv ①
3t0时刻物体与盒子右壁碰撞使盒子速度又变为v0,说明碰撞是弹性碰撞
?②
联立①②解得m=M ③
本题解析:
本题难度:一般