ʱ¼ä:2017-07-31 08:18:15
1¡¢Ìî¿ÕÌâ a¡¢bÁ½¸öСÇòÔÚÒ»Ö±ÏßÉÏ·¢ÉúÅöײ£¬ËüÃÇÔÚÅöײǰºóµÄS-tͼÏóÈçͼËùʾ£¬ÈôaÇòµÄÖÊÁ¿ma=1kg£¬ÔòbÇòµÄÖÊÁ¿mbµÈÓÚ??©K
²Î¿¼´ð°¸£º2.5
±¾Ìâ½âÎö£ºÂÔ
±¾ÌâÄѶȣº¼òµ¥
2¡¢¼ÆËãÌâ £¨15·Ö£©Á½¸öÖÊÁ¿¶¼ÊÇ
=0.4kgµÄɰÏäA¡¢B²¢ÅÅ·ÅÔڹ⻬µÄˮƽ×ÀÃæÉÏ£¬Ò»¿ÅÖÊÁ¿Îª
=0.1kgµÄ×Óµ¯ÒÔ
=140m/sµÄˮƽËÙ¶ÈÉäÏò
£¬ÈçͼËùʾ.Éä´©
ºó£¬½øÈë
²¢Í¬
Ò»ÆðÔ˶¯£¬²âµÃ
¡¢
Âäµãµ½×À±ßÔµµÄˮƽ¾àÀë
=1¡Ã2£¬Çó£º
£¨1£©É³Ïä
À뿪×ÀÃæµÄ˲ʱËÙ¶È£»£¨2£©×Óµ¯ÔÚɰÏä
?
Öд©ÐÐʱϵͳһ¹²²úÉúµÄÈÈÁ¿
.
²Î¿¼´ð°¸£º£¨1£©
?£¨2£© 
±¾Ìâ½âÎö£º£¨1£©ÔÚ×Óµ¯´©¹ýAºÍBµÄ¹ý³ÌÖУ¬A¡¢BºÍ×Óµ¯×é³ÉµÄϵͳÂú×㶯Á¿Êغ㶨ÂÉ
Éè
À뿪×ÀÃæµÄ˲ʱËÙ¶È·Ö±ðΪ
£¬Ôò
?¢Ù
À뿪×ÀÃæºó£¬
·Ö±ð×öƽÅ×Ô˶¯£¬Ôò
?¢Ú
ÁªÁ¢¢Ù¢Ú½âµÃ
£¬
£¨2£©×Óµ¯ÔÚɰÏä
Öд©ÐеĹý³Ì£¬ÏµÍ³Âú×ãÄÜÁ¿ÊغãÔò:
?¢Û
½âµÃ
±¾ÌâÄѶȣºÀ§ÄÑ
3¡¢ÊµÑéÌâ ÅöײµÄ»Ö¸´ÏµÊýµÄ¶¨ÒåΪ
£¬ÆäÖÐv10ºÍv20·Ö±ðÊÇÅöײǰÁ½ÎïÌåµÄËÙ¶È£¬v1ºÍv2·Ö±ðÊÇÅöײºóÁ½ÎïÌåµÄËÙ¶È¡£µ¯ÐÔÅöײµÄ»Ö¸´ÏµÊýe£½1£¬·Çµ¯ÐÔÅöײµÄe£¼1¡£Ä³Í¬Ñ§½èÓÃÑéÖ¤¶¯Á¿Êغ㶨ÂɵÄʵÑé×°Öã¨ÈçͼËùʾ£©ÑéÖ¤µ¯ÐÔÅöײµÄ»Ö¸´ÏµÊýÊÇ·ñΪ1£¬ÊµÑéÖÐʹÓð뾶ÏàµÈµÄ¸ÖÖÊСÇò1ºÍ2£¬£¨ËüÃÇÖ®¼äµÄÅöײ¿É½üËÆÊÓΪµ¯ÐÔÅöײ£©£¬ÇÒСÇò1µÄÖÊÁ¿´óÓÚСÇò2µÄÖÊÁ¿¡£
ʵÑé²½ÖèÈçÏ£º°²×°ºÃʵÑé×°Öã¬×öºÃ²âÁ¿Ç°µÄ×¼±¸£¬²¢¼ÇÏÂÖØ´¹ÏßËùÖ¸µÄλÖÃO¡£
µÚÒ»²½£º²»·ÅСÇò2£¬ÈÃСÇò1´Óб²ÛÉÏAµãÓɾ²Ö¹¹öÏ£¬²¢ÂäÔÚµØÃæÉÏ¡£Öظ´¶à´Î£¬Óþ¡¿ÉÄÜСµÄÔ²°ÑСÇòµÄËùÓÐÂäµãȦÔÚÀïÃæ£¬ÆäÔ²ÐľÍÊÇСÇòÂäµãµÄƽ¾ùλÖá£
µÚ¶þ²½£º°ÑСÇò2·ÅÔÚб²Ûǰ¶Ë±ßÔµ´¦µÄCµã£¬ÈÃСÇò1´ÓAµãÓɾ²Ö¹¹öÏ£¬Ê¹ËüÃÇÅöײ¡£Öظ´¶à´Î£¬²¢Ê¹ÓÃÓëµÚÒ»²½Í¬ÑùµÄ·½·¨·Ö±ð±ê³öÅöײºóÁ½Ð¡ÇòÂäµãµÄƽ¾ùλÖá£
µÚÈý²½£ºÓÿ̶ȳ߷ֱð²âÁ¿Èý¸öÂ䵨µãµÄƽ¾ùλÖÃÀëOµãµÄ¾àÀ룬¼´Ïß¶ÎOM¡¢OP¡¢ONµÄ³¤¶È¡£
ÉÏÊöʵÑéÖУº
£¨1£©PµãÊÇ_____________µÄƽ¾ùλÖã¬MµãÊÇ_____________µÄƽ¾ùλÖã¬NµãÊÇ_____________µÄƽ¾ùλÖá£
£¨2£©Çëд³ö±¾ÊµÑéµÄÔÀí______________________________________________________________________£»Ð´³öÓòâÁ¿Á¿±íʾµÄ»Ö¸´ÏµÊýµÄ±í´ïʽ_________________________¡£
£¨3£©Èý¸öÂ䵨µã¾àOµãµÄ¾àÀëOM¡¢OP¡¢ONÓëʵÑéËùÓõÄСÇòÖÊÁ¿ÊÇ·ñÓйأ¿ ______________________________________________________________________
²Î¿¼´ð°¸£º£¨1£©ÊµÑéµÄµÚÒ»²½ÖÐСÇò1Âäµã£»Ð¡Çò1ÓëСÇò2ÅöײºóСÇò1Âäµã£»Ð¡Çò2Âäµã
£¨2£©Ð¡Çò´Ó²Û¿ÚC·É³öºó×÷ƽÅ×Ô˶¯µÄʱ¼äÏàͬ£¬ÉèΪt£¬ÔòÓÐOP£½v10t£¬OM£½v1t£¬ON£½v2t
СÇò2Åöײǰ¾²Ö¹£¬v20£½0£» 
£¨3£©OPÓëСÇòµÄÖÊÁ¿Î޹أ¬OMºÍONÓëСÇòµÄÖÊÁ¿ÓйØ
±¾Ìâ½âÎö£º
±¾ÌâÄѶȣºÀ§ÄÑ
4¡¢¼ÆËãÌâ ÈçͼËùʾ£¬Ð¡ÇòAÒÔËÙÂÊ
ÏòÓÒÔ˶¯Ê±¸ú¾²Ö¹µÄСÇòB·¢ÉúÅöײ£¬ÅöºóAÇòÒÔ
µÄËÙÂʵ¯»Ø£¬¶øBÇòÒÔ
µÄËÙÂÊÏòÓÒÔ˶¯£¬ÇóA¡¢BÁ½ÇòµÄÖÊÁ¿Ö®±È¡£ 
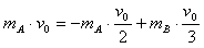
²Î¿¼´ð°¸£º½â£º¶ÔÅöײ¹ý³ÌÖУ¬A¡¢B×é³ÉµÄϵͳ£¬ÓÉÓÚËùÊܵĺÏÍâÁ¦ÎªÁ㣬ËùÒÔϵͳµÄ¶¯Á¿Êغ㣬¹æ¶¨ÏòÓÒΪÕý·½Ïò£¬Ôò
ÅöǰϵͳµÄ¶¯Á¿Îª£º
ÅöºóϵͳµÄ¶¯Á¿Îª£º
¸ù¾Ý¶¯Á¿Êغ㶨ÂÉÓУº
¹ÊÓУº
±¾Ìâ½âÎö£º
±¾ÌâÄѶȣºÒ»°ã
5¡¢Ñ¡ÔñÌâ ÖÊÁ¿ÏàµÈµÄ¼×ÒÒÁ½ÇòÔÚ¹â»¬Ë®Æ½ÃæÉÏÑØÍ¬Ò»Ö±ÏßÔ˶¯¡£¼×ÒÔ7 kg¡¤m/sµÄ¶¯Á¿×·ÉÏǰ·½ÒÔ5 kg¡¤m/sµÄ¶¯Á¿Í¬ÏòÔ˶¯µÄÒÒÇò·¢ÉúÕýÅö£¬ÔòÅöºó¼×ÒÒÁ½Çò¶¯Á¿¿ÉÄܵÄÊÇ
[? ]
A.5 kg¡¤m/s£¬7 kg¡¤m/s?
B.6 kg¡¤m/s£¬6 kg¡¤m/s
C.5.5 kg¡¤m/s£¬6.5 kg¡¤m/s?
D.4 kg¡¤m/s£¬8 kg¡¤m/s
²Î¿¼´ð°¸£ºABC
±¾Ìâ½âÎö£º
±¾ÌâÄѶȣº¼òµ¥