时间:2017-07-27 12:24:24
1、计算题  如图所示,有一磁感强度B=9.1×10-4T的匀强磁场,C、D为垂直于磁场方向的同一平面内的两点,它们之间的距离L=0.05m,今有一电子在此磁场中运动,它经过C点的速度v的方向和磁场垂直,且与CD之间的夹角θ=30°。(电子的质量m=9.1×10-31kg,电荷量e=1.6×10-19C)
(1)若此电子在运动过程中经过D点,则它的速度应是多大?
(2)电子从C点到D点所用的时间是多少?
2、选择题 如图,在x轴上方有匀强磁场B,一个质量为m,带电量为
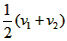
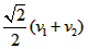
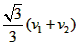
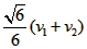
3、选择题  在x轴上方有垂直于纸面的匀强磁场,同一种带电粒子从O点射入磁场。当入射方向与x轴的夹角α=450时,速度为v1、v2的两个粒子分别从a、b两点射出磁场,如图所示。当α为600时,为了使粒子从ab的中点c射出磁场,则速度应为( ? )





4、简答题  如图所示,空间某平面内有一条折线是磁场的分界线,在折线的两侧分布着方向相反、与平面垂直的匀强磁场,磁感应强度大小都为B.折线的顶角∠A=90°,P、Q是折线上的两点,AP=AQ=L.现有一质量为m、电荷量为q的带负电微粒从P点沿PQ方向射出,不计微粒的重力.
(1)若P、Q间外加一与磁场方向垂直的匀强电场,能使速度为v0射出的微粒沿PQ直线运动到Q点,则场强为多大?
(2)撤去电场,为使微粒从P点射出后,途经折线的顶点A而到达Q点,求初速度v应满足什么条件?
(3)求第(2)中微粒从P点到达Q点所用的时间.
5、计算题  如图在
轴上方存在垂直纸面向里的磁感应强度为B的匀强磁场,
轴下方存在垂直纸面向外的磁感应强度为
的匀强磁场。一带负电的粒子从原点O以与
轴成30°角的方向斜向上射入磁场,且在
轴上方运动半径为
。求:
(1)粒子在
轴下方磁场中运动的半径
。
(2)粒子在
轴下方磁场中运动的时间
与在
轴上方磁场中运动的时间
之比。