高考物理答题模板《粒子在复合场中运动》试题强化练习(2017年最新版)(九)

时间:2017-07-27 11:56:25

微信搜索关注"91考试网"公众号,领30元,获取事业编教师公务员等考试资料40G

1、计算题  (18分)如图,在第二象限的圆形区域I存在匀强磁场,区域半径为R,磁感应强度为B,且垂直于Oxy平面向里;在第一象限的区域II和区域III内分别存在匀强磁场,磁场宽度相等,磁感应强度大小分别为B和2B,方向相反,且都垂直于Oxy平面。质量为m、带电荷量q(q>0)的粒子a于某时刻从圆形区域I最高点Q(Q和圆心A连线与y轴平行)进入区域I,其速度v=?。已知a在离开圆形区域I后,从某点P进入区域II。该粒子a离开区域II时,速度方向与x轴正方向的夹角为30°;此时,另一质量和电荷量均与a相同的粒子b从P点进入区域II,其速度沿x轴正向,大小是粒子a的。不计重力和两粒子之间的相互作用力。求:
(1)区域II的宽度;
(2)当a离开区域III时,a、b两粒子的y坐标之差.


参考答案:(1)?(2)


本题解析:(1)如图所示,a粒子进入区域I后,由
故a粒子在区域I做圆周运动的半径?…………(1分)
其轨迹圆心为,
由几何知识得:
a粒子从某点D出射时,速度v沿x轴正方向. …………(2分)
a粒子从P点沿x轴正方向进入区域II后,由
?,可找到圆心?…………(1分)
轴,由图知:?,即磁场区域宽度?…………(2分)
(2)①对a粒子的运动进行分析:
进入区域Ⅲ后,由,得……..(1分)
连接O1E并延长,取EO2=r2,则O2为a粒子在区域Ⅲ中的轨迹圆心延长HE交Ⅲ右边界于F,连接O2F
由已知条件易证,故F点是a粒子在区域Ⅲ中的出射点
且轨迹所对应的圆心角为60o
故a粒子在区域Ⅲ中运动的时间…..(1分)
由图根据几何关系知:…..(1分)
②对b粒子的运动进行分析:
b粒子进入区域Ⅱ后,由,得:
且其轨迹圆心O3位于y轴上
P点进入区域II,运动时间为?,故其轨迹所对应的圆心角为…(1分)
由图根据几何知识:?…………(1分)
综上分析可知:
当a离开区域III时,a、b两粒子的y坐标之差为
即坐标差为? …………(2分)


本题难度:一般



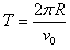
2、简答题  在相互垂直的匀强磁场和匀强电场中,有倾角为θ的足够光滑的绝缘斜面,磁感应强度为B,方向水平向外,电场强度E,方向竖直向上,有一质量为m、带电荷量为+q的小滑块,静止在斜面顶端时对斜面的正压力恰好为零,如图所示.

(1)如果迅速把电场方向转为竖直向下,求小滑块能在斜面上连续滑行的最远距离L和所用时间t.
(2)如果在距远处的C点放一个相同质量但不带电的小物体,当滑块从A点静止下滑到C点时,两物体相碰并黏合在一起,则此黏合体在斜面上还能再滑行多少时间和距离?


参考答案:(1)L=? t=cotθ
(2)s=? t′=cotθ


本题解析:(1)只有一个滑块运动:由题意知电场方向竖直向上,Eq=mg,场强大小不变,转为竖直向下时,滑块沿斜面连续下滑的最大距离L可根据动能定理有:
(mg+Eq)Lsinθ=mv2
即2mgLsinθ=mv2?①
当滑块刚刚离开斜面时有
Bqv=(mg+Eq)cosθ
即v=?②
①②式联立得:L=
再根据动量定理可知t==cotθ.
(2)两个物体先后运动,设在C点处碰撞前滑块的速度为v,则2mg×sinθ=mv2?③
设碰撞后黏合体速度为u,由动量守恒有
mv="2mu?" ?④
当黏合体将要离开斜面时,有
Bv′q=(2mg+Eq)cosθ=3mgcosθ?⑤
据动能定理,碰后两物体共同下滑的过程
3mgssinθ= (2m)v′2-(2m)u2?⑥
所以黏合体在斜面上还能滑行的距离由③④⑤⑥式联立得:s=-
将L结果代入后整理有s=
黏合体在斜面上还能滑行的时间可由动量定理求得:
t′==cotθ-
将L结果代入后整理有
t′=t=cotθ.


本题难度:简单



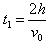
3、选择题  如图所示,两金属板间有水平方向的匀强磁场和竖直向下的匀强电场.一带正电的小球垂直于电场和磁场方向从O点以速度v0飞入此区域,恰好能沿直线从P点飞出此区域.如果只将电场方向改为竖直向上,则小球做匀速圆周运动,加速度大小为a1,经时间t1从板间的右端a点飞出,a与P间的距离为y1;如果同时撤去电场和磁场,小球加速度大小为a2,经时间t2从板间的右端b点以速度v飞出,b与P间的距离为y2.a、b两点在图中未标出,则

A.v0< v
B.a1<a2
C.y1>y2
D.t1<t2


参考答案:AC


本题解析:小球第一次恰好能沿直线,有,电场方向改为竖直向上,则小球做匀速圆周运动,有,得,如果同时撤去电场和磁场,小球只重力作用,加速度,飞出的速度,v0< v,则A正确、B错误;圆周运动速度大小不变,但水平方向的分量越来越小,竖直分量的速度越来越大,平抛运动水平方向速度不变,竖直方向做自由落体运动,故水平方向运动相同的距离,时间t1>t2,D错误;选项AC正确。


本题难度:简单



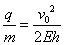
4、计算题  在光滑绝缘的水平面上建有如图所示的平面直角坐标系,在此水平面上可视为质点的不带电小球a静止于坐标系的原点O,可视为质点的带正电小球b静止在坐标为(0,-h)的位置上。现加一方向沿y轴正方向、电场强度大小为E、范围足够大的匀强电场,同时给a球以某一速度使其沿x轴正方向运动。当b球到达坐标系原点O时速度为v0,此时立即撤去电场而改加一方向垂直于绝缘水平面向上、磁感应强度大小为B、范围足够大的匀强磁场,最终b球能与a球相遇。求:
(1)b球的比荷
(2)从b球到达原点O开始至b球与a球相遇所需的时间;
(3)b球从开始位置运动到原点O时,a球的位置。


参考答案:解:(1)b球受电场力作用做匀加速运动,由动能定理得:
则b球的比荷为
(2)b球运动到原点后将在水平面上做匀速圆周运动 所以有:
周期
联立得:
b球只能与a球相遇在图中的S处,相遇所需时间为……)
(3)a球开始运动到与b球相遇所用时间为:
其中
a球通过的路程为OS=2R
所以可得a球的速度:v=
故v=
则a球在x轴上的坐标为……)
a球的位置为(,0)


本题解析:


本题难度:困难



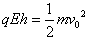
5、实验题  如图所示,在直角坐标系O-xyz中存在磁感应强度为、方向竖直向下的匀强磁场,在(0,0,h)处固定一电量为+q(q>0)的点电荷,在xOy平面内有一质量为m(m未知),电量为-q的微粒绕原点O沿图示方向作匀速圆周运动。若微粒的圆周运动可以等效为环形电流,求:

(1)若已知+q与-q的连线与z轴的夹角θ和静电力常量k,则此微粒所受的库仑力多大
(2)此微粒作匀速圆周运动的角速度ω;
(3)等效环形电流的电流强度I(已知重力加速度为g)。


参考答案:(1)(2)(3)


本题解析:(1)(6分)该微粒受到的库仑力FE: (2分), (2分),? (2分)。

(2)(8分),由几何关系 ?(2分),微粒沿在z轴方向上受力平衡 ?(2分),微粒在xoy平面内做圆周运动 ?(2分),联立,解得 ,解得 (2分),
(3)(5分)微粒圆周运动的周期 (2分),等效电流强度 ?(3分)


本题难度:简单




首页 上页 8 9 10 下页 尾页 9/10/10
微信搜索关注"91考试网"公众号,领30元,获取公务员事业编教师考试资料40G
【省市县地区导航】【考试题库导航】
 ★ 高考省级导航 ★ 
全国 A安徽 B北京 C重庆 F福建 G广东 广西 甘肃 贵州 H河南 河北 湖南 湖北 黑龙江 海南 J江苏 江西 吉林 L辽宁 N内蒙古 宁夏 Q青海 S山东 山西 陕西 四川 上海 T天津 X新疆 西藏 Y云南 Z浙江
 ★ 高考信息汇总 ★ 
 ★ 高考历年真题 ★ 
 ★ 高考历年真题 ★ 
 ★ 高考题库 ★ 
 ★ 高考题库 ★ 

电脑版  |  手机版  |  返回顶部