时间:2017-07-17 08:02:02
1、选择题 如图所示,闹钟和手表之间的争论中,其中闹钟是用哪个物理量来分析圆周运动的( )
A.角速度
B.周期
C.转速
D.线速度
2、选择题 如图所示,两轮用皮带传动,皮带不打滑,图中有A、B、C三点,这三点所在处的半径
,则以下有关各点线速度v、角速度ω的关系中正确的是
A.
?B.
?
C.
?D.
3、选择题 如图所示,直径为d的纸制圆筒,以角速度ω绕轴O匀速旋转,将枪口对准圆筒,使子弹沿直径水平穿过圆筒,若子弹在圆筒旋转不到半周时留下a、b两个弹孔,已知aO与bO夹角为θ,则子弹的速度为

[? ]
4、填空题 毛泽东主席著名诗句,“坐地日行八万里,巡天遥看一千河”,这里的“一里”为0.5km.
(1)试说明“坐地日行八万里”的科学道理.
(2)人在赤道上随地球自转的线速度约为____________m/s.(已知地球半径为6400 km)
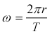
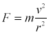
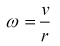
5、选择题 关于描述匀速圆周运动的公式,下列正确的是( ? )