时间:2017-07-17 07:54:52
1、计算题 (10分)如图所示,在竖直放置的光滑半圆弧绝缘细管的圆心O处固定一点电荷,将质量为m,带电量为+q的小球从圆弧管的水平直径端点A由静止释放,小球沿细管滑到最低点B时,对管壁恰好无压力,求:
(1)则固定于圆心处的点电荷在A B弧中点处的电场强度大小
(2)若把O处固定的点电荷拿走,加上一个竖直向下场强为E的匀强电场,带电小球仍从A点由静止释放,下滑到最低点B时,小球对环的压力多大?
参考答案:
本题解析:(1)由A到B, 由动能定理得:
?(2分)
在B点,对小球由牛顿第二定律得:
?(2分)
联立以上两式解得:
?等势面上各处的场强大小均相等(1分)
(2)设小球到达B点时的速度为v,由动能定理得
?①(2分)
在B点处小球对环的弹力为N,由牛顿第二定律得:
?②(1分)
联立①和②式, 解得小球在B点受到环的压力为:
(1分)
由牛顿第三定律得:小球在B点对环的压力大小为
(1分)
本题难度:一般
2、计算题 用200N竖直向上的拉力将地面上—个质量为10kg的物体提起5m高的位移,空气阻力不计,g取10m/s2,
求:(1)拉力对物体所做的功;
(2)物体提高后增加的重力势能;
(3)物体提高后具有的动能。
参考答案:(1)1000J(2)500J(3)500J
本题解析:(1)根据做功公式
(2)物体被抬高5m,增加的重力势能
(3)根据动能定理
,
,得物体的动能
点评:该类型题目把牛顿第二定律和能量这部分内容结合起来,要能够根据物体受力情况判断物体的运动情况,解题的关键在于分析运动过程中能量转化的过程,所有外力的做功等于动能变化量。
本题难度:简单
3、计算题 (20分)如图所示,光滑绝缘水平面的上方空间被竖直的分界面MN分隔成两部分,左侧空间有一水平向右的匀强电场,场强大小
,右侧空间有长为R=0.114m的绝缘轻绳,绳的一端固定于O点,另一端拴一个质量为m小球B在竖直面内沿顺时针方向做圆周运动,运动到最低点时速度大小vB=10m/s(小球B在最低点时与地面接触但无弹力)。在MN左侧水平面上 有一质量也为m,带电量为
的小球A,某时刻在距MN平面L位置由静止释放,恰能与运动到最低点的B球发生正碰,并瞬间粘合成一个整体C。(取g=10m/s2)
(1)如果L=0.2m,求整体C运动到最高点时的速率。(结果保留1位小数)
(2)在(1)条件下,整体C在最高点时受到细绳的拉力是小球B重力的多少倍?(结果取整数)
(3)若碰后瞬间在MN的右侧空间立即加上一水平向左的匀强电场,场强大小
,当L满足什么条件时,整体C可在竖直面内做完整的圆周运动。(结果保留1位小数)
参考答案:(1)
?(2)18倍?(3)
或
本题解析:(1)对
球,从静止到碰
的过程由动能定理:
?
解得:
?(2分)
、
碰撞由动量守恒,有:
?
解得共同速度:
,方向向左?(2分)
设整体C在最高点速度为
,由机械能守恒:
? (2分)
(2)由牛顿第二定律,在圆周运动最高点:
?
解得受到的拉力:
?即为小球B重力的18倍。?(2分)
(3)MN右侧空间加上一水平向左的匀强电场
后,整体C受到重力和电场力的合力为:
, ?(1分)
设合力方向与竖直方向间的夹角为
,合力作为等效重力,如图,则有
,所以,
? (1分)
P和Q即为等效的最低点和最高点
整体C做完整圆周运动的条件是:在Q点即等效最高点绳的拉力满足:
设此时整体C在Q点的速度为
,
即:
?得:
?(2分)
设整体C在最低点的速度大小为v1,由动能定理:
?(2分)
、
碰撞由动量守恒,有:
?(1分)
若碰后整体C方向向左,取最小
,得:
?
由
?得:
?(2分)
若碰后整体C方向向右,取最小
?得:
?
由
?得:
?(2分)
所以,
满足的条件是:
或
?(1分)
本题难度:一般
4、计算题 如图所示,长木板A上右端有一物块B,它们一起在光滑的水平面上向左做匀速运动,速度v0=2.0 m/s。A左侧有一个与A等高的固定物体C。已知A的质量为mA=1.0 kg,物块B的质量为mB=3.0 kg,B与A间的动摩擦因数μ=0.5,取g=10 m/s2。求:
(1)若A足够长,A与C第一次碰撞后,A立即与C粘在一起,求B在A上滑行的距离L应是多少;
(2)若A足够长,A与C发生碰撞后弹回(碰撞时间极短,没有机械能损失),求第一次碰撞后A、B具有的共同运动速度;
(3)若A长为0.51 m,且A与C每次碰撞均无机械能损失,求A与C碰撞几次,B可脱离A? 
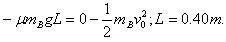
参考答案:解:(1)A与C碰撞后速度变为0,而B将继续运动,受摩擦力作用,速度由v0减到0,由动能定理
(2)A与C发生碰撞后的瞬间,速度大小仍为v0,方向向右,以A、B为研究对象,设A、B有共同的速度v,水平方向不受外力作用,系统动量守恒,设向左为正,则mBv0-mAv0=(mA+mB)v
,方向水平向左
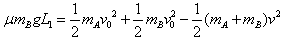
(3)第一次A与C碰后,A、B有共同的速度v,B在A上相对于A滑行L1,则
,L1=0.40 m
第二次A与C碰后至A、B有共同的速度v",B在A上相对于A滑行L2,则
mBv-mAv=(mA+mB)v", 
由以上两式,可得L2=0.10 m
设第三次A与C碰后,A、B仍有共同的速度v"",B在A上相对于A 滑行L3,则
mBv"-mAv"=(mA+mB)v"",
由以上两式,可得L3=0.025 m
则L1+L2+L3=0.525m>0.51 m
即第三次碰后B可以脱离A
本题解析:
本题难度:困难
5、选择题 如图所示,一带正电的粒子沿某椭圆轨道运动,该椭圆轨道的中心有一负电荷,在带电粒子由?a?点运动到?b?点的过程中( )
A.电场力做负功,q的速度减小
B.电场力做负功,q的电势能增大
C.电场力做正功,q的速度增大
D.电场力做正功,q的电势能减小
参考答案:带电粒子由?a?点运动到?b?点的过程中,电场力方向与速度的夹角小于90°,则电场力做正功,导致电势能减小,动能增加,所以粒子的速率增大.因此AB错误;CD正确;
故选:CD
本题解析:
本题难度:一般