时间:2017-07-17 07:39:47
1、计算题 (10分)如图所示为交流发电机示意图,匝数为
匝的矩形线圈,边长分别为l0cm和20cm,内阻为5
,在磁感强度B=0.5T的匀强磁场中绕
轴以
的角速度匀速转动,线圈和外部20
电阻R相接,求:
(1)S断开时,电压表示数;
(2)S闭合时,电流表示数;
(3)发电机正常工作时,通过电阻R的电流最大值是多少?R上所消耗的电功率是多少?
(4)线圈从图示位置转过90°的过程中,通过电阻R的电量为多少?
参考答案:(1)
?(2)2A?(3)80W(4)
本题解析:(1)交流发电机产生电动势的最大值
?(1分)
S断开时,电压表示数为电动势的有效值
?(2分)
(2)S闭合时,电流表示数为干路电流的有效值
2A?(2分)
(3)电流的最大值
A?(1分)
电阻R上消耗的电功率
W?(1分)
(4)


解得:
C?(3分)
本题考查交变电流的产生和有效值平均值的概念,由公式E=nBSw求得电动势峰值,由峰值和有效值的关系求得电流有效值,通过导线的电量与平均值有关,根据法拉第电磁感应定律可求得电量表达式
本题难度:一般
2、选择题 


A.灯泡两端的电压为150 V
B.灯泡两端的电压为110 V
C.灯泡实际消耗的功率为额定功率的
D.若将灯泡与副线圈断开,则副线圈两端电压为零
参考答案:BC
本题解析:原线圈接入的交流电最大值为310 V,则有效值为
;根据理想变压器的变压公式得副线圈两端电压
,灯泡实际消耗的功率
;若将灯泡与副线圈断开,则副线圈两端电压仍为110 V,故B、C正确。
本题难度:简单
3、选择题 交流发电机工作时的电动势为e=Emsinωt。若将其电枢的转速提高1倍,其他条件不变,则其电动势变为
A.Emsin
B.2Emsin
C.Emsin2ωt
D.2Emsin2ωt.
参考答案:D
本题解析:
,转速n=
,转速提高一倍,即角速度提高一倍,电动势瞬时值表达式变为:e=2Emsin2ωt,选D选项。
本题难度:简单
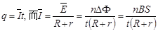
4、计算题 交流发电机转子有n匝线圈,每匝线圈所围面积为S,匀强磁场的磁感应强度为B,匀速转动角速度为ω,线圈内电阻为r,外电路电阻为R。当线圈由图中实线位置匀速转动90°到达虚线位置过程中,求:通过R的电荷量q为多少?
参考答案:
本题解析:
按照电流的定义I=q/t,计算电荷量q应该用电流的平均值:即

点评:本题要求知道:计算电荷量q应该用电流的平均值;求电热应该用有效值.
本题难度:简单
5、选择题 如图甲所示,理想变压器原、副线圈的匝数比为10:1,R1=20
,R2=10
。开关S闭合。已知通过R1的正弦交流电如图乙所示,则:
A.交流电的频率为0.02 Hz
B.电阻R2的电功率约为40 W
C.原线圈输入电压的最大值为100
V
D.若打开开关S,则电流表的示数将减小
参考答案:BD
本题解析:本题考查理想变压器。由图像知交流电周期
,频率
,A错;通过
的电流有效值为1A,
两端即副线圈电压有效值
,
的电功率
,B对;由
,原线圈电压有效值
,最大值
,C错;若打开开关S,副线圈上消耗的功率减小,原线圈输送的功率减小,原线圈电流减小,电流表的示数将减小,D对;选BD。
本题难度:一般