时间:2017-07-17 07:32:18
1、选择题  如图所示,垂直纸面的正方形匀强磁场区域内,有一位于纸面且电阻均匀的正方形导体框abcd,现将导体框分别以速度v、3v朝两个方向匀速拉出磁场,则导体框从两个方向移出磁场的过程中
[? ]
A. 导体框所受安培力方向相同
B. 导体框中产生的焦耳热相同
C. 导体框ad边两端产生的电势差大小相等
D. 通过导体框截面的电荷量相同
参考答案:CD
本题解析:
本题难度:一般
2、计算题  图中MN和PQ为竖直方向的两平行长直金属导轨,间距l为0.40m,电阻不计。导轨所在平面与磁感应强度为B=0.50T的匀强磁场垂直。质量为m=6.0×10-3 kg、电阻为r=1.0Ω的金属杆ab始终垂直于导轨,并与其保持光滑接触。导轨两端分别接有滑动变阻器和阻值为3.0Ω的电阻R1。当杆ab达到稳定状态时以速率v匀速下滑,整个电路消耗的电功率为P=0.27W,重力加速度g取10m/s2,试求速率v和滑动变阻器接入电路部分的阻值R2。
参考答案:解:(1)由题义,稳定后重力做功将机械能转化成回路中的电能? 
解之得
(2)等效电路如图所示,由法拉第电感感应定律有E=Blv
由闭合回路的欧姆定律有
又P=EI
联立解之得
本题解析:
本题难度:一般
3、选择题  一环形线圈放在匀强磁场中,设第1 s内磁感线垂直线圈平面向里,如图甲所示,若磁感应强度B随时间t变化关系如图乙所示,那么第2 s内线圈中感应电流的大小和方向是(?)
A.大小恒定,顺时针方向
B.大小恒定,逆时针方向
C.逐渐增加,逆时针方向
D.逐渐减小,顺时针方向
参考答案:B
本题解析:根据题意和B-t图象可知,垂直纸面向里的方向为磁感应强度的正方向.由B-t图象可知,在第2 s内正方向磁感应强度B是均匀增大的.根据楞次定律可知,感应电流方向是逆时针方向,因线圈中感应电动势
是恒定的,环形线圈中的感应电流大小是恒定的.
本题难度:简单
4、计算题  如图所示,边长L=0.20m的正方形导线框ABCD由粗细均匀的同种材料制成,正方形导线框每边的电阻R0=1.0Ω,金属棒MN与正方形导线框的对角线长度恰好相等,金属棒MN的电阻r=0.20Ω。导线框放置在匀强磁场中,磁场的磁感应强度B=0.50T,方向垂直导线框所在平面向里。金属棒MN与导线框接触良好,且与导线框对角线BD垂直放置在导线框上,金属棒上的中点始终在BD连线上。若金属棒以v=4.0m/s的速度向右匀速运动,当金属棒运动至AC位置时,求: 
(1)金属棒产生的电动势大小; 
(2)金属棒MN上通过的电流大小和方向; 
(3)导线框消耗的电功率。 
参考答案:解:(1)金属棒产生的电动势大小为:E=
BLv=0.4
V≈0.57V
(2)金属棒运动到AC位置时,导线框左、右两侧电阻并联,其并联电阻大小为R并=1.0Ω
根据闭合电路欧姆定律I=
≈0.48A
根据右手定则判定,电流方向从N到M
(3)导线框的功率为:P框=I2R并≈0.23W
本题解析:
本题难度:一般
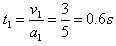
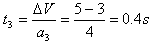
5、计算题  如图甲所示,一个质量m=0.1 kg的正方形金属框总电阻R=0.5 Ω,金属框放在表面绝缘且光滑的斜面顶端(金属框上边与AA′重合),自静止开始沿斜面下滑,下滑过程中穿过一段边界与斜面底边BB′平行、宽度为d的匀强磁场后滑至斜面底端(金属框下边与BB′重合),设金属框在下滑过程中的速度为v,与此对应的位移为s,那么v2-s图象(记录了线框运动全部过程)如图乙所示,已知匀强磁场方向垂直斜面向上。试问:(g取10m/s2)
(1)根据v2-s图象所提供的信息,计算出金属框从斜面顶端滑至底端所需的时间为多少?
(2)匀强磁场的磁感应强度多大? 
(3)现用平行斜面沿斜面向上的恒力F作用在金属框上,使金属框从斜面底端BB′(金属框下边与BB′重合)由静止开始沿斜面向上运动,匀速通过磁场区域后到达斜面顶端(金属框上边与AA′重合)。试计算恒力F做功的最小值。 
参考答案:解:由v2-s图可知,物体运动可分为三段,设位移分别为S1,S2,S3,对应的时间分别为t1,t2,t3
匀加速运动 
匀速运动 
?初速
?末速度v3=5m/s 匀加速运动
(1)s=0到s=0.9m匀加速运动,由公式
得:


,解得:a3=5m/s2

(2)线框通过磁场时,线框作匀速运动,线框受力平衡
在AA"a"a区域,对线框进行受力分析,
穿过磁场区域时,

由题干分析得:线框的宽度
解得
(3)设恒力作用时金属框上边进入磁场速度为V
线框穿过磁场时,
又由
解得
由于
,所以穿过磁场后,撤去外力,物体仍可到达顶端
所以力F做功为
本题解析:
本题难度:困难