时间:2017-07-17 07:11:20
1、填空题 已知地面的重力加速度为g,地球半径为R,人造地球卫星圆形运行的轨道半径为 R0 ,?则卫星在轨道上运行的线速度为?m/s,周期为?s 。
2、填空题 A:两块厚度相同的木块A和B,紧靠着放在光滑的水平面上,其质量分别为mA=0.5kg,mB=0.3kg,它们的下底面光滑,上表面粗糙;另有一质量mC=0.1kg的滑块C(可视为质点),以vC=25m/s的速度恰好水平地滑到A的上表面,如图所示,由于摩擦,滑块最后停在木块B上,B和C的共同速度为3.0m/s,则木块A的最终速度vA=______m/s,滑块C离开A时的速度vC?=______m/s
B:某人造地球卫星质量为m,其绕地球运动的轨道为椭圆.已知它在近地点时距离地面高度为h1,速率为v1,加速度为a1,在远地点时距离地面高度为h2,速率为v2,设地球半径为R,则该卫星由近地点到远地点过程中地球对它的万有引力所做的功为______.在远地点运动的加速度a2为______.
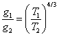
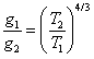
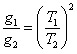
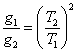
3、选择题 近地人造卫星1和2绕地球做匀速圆周运动的周期分别为T1和T2,设在卫星1、卫星2各自所在的高度上的重力加速度大小分别为g1、g2,则
[? ]




4、填空题 两颗人造地球卫星A、B的轨道半径之比rA:rB=1:3,某一时刻它们的连线通过地心,则此时它们的线速度之比vA:vB=______,向心加速度之比aA:aB=______.
5、选择题 2011年6月21号,我国发射了“中星10号”地球同步通信卫星,卫星的质量5.22t.下列说法中正确的是( )
A.卫星可以定点在北京正上方
B.卫星运行的向心加速度小于地球表面的重力加速度
C.卫星的线速度大于第一宇宙速度
D.卫星的角速度小于月球绕地球的角速度