时间:2017-07-10 22:27:46
1、计算题  如图所示,两带电平行金属板A、B与竖直方向成30°角放置,两板间电势差 =500V。B板中心有一小孔正好位于平面直角坐标系 xOy上的O点,y轴沿竖直方向。一比荷为1.0×105C/kg的带正电粒子P,从A板中心
=500V。B板中心有一小孔正好位于平面直角坐标系 xOy上的O点,y轴沿竖直方向。一比荷为1.0×105C/kg的带正电粒子P,从A板中心 处静止释放后沿垂直于金属板的直线
处静止释放后沿垂直于金属板的直线 进入x轴下方第四象限的匀强电场E中,场强方向与AB板平行且斜向上。粒子穿过电场后,从坐标P(1m,0)处离开电场,粒子的重力不计(如有需要:
进入x轴下方第四象限的匀强电场E中,场强方向与AB板平行且斜向上。粒子穿过电场后,从坐标P(1m,0)处离开电场,粒子的重力不计(如有需要: 、
、 、
、 )。试求:
)。试求:
(1)粒子刚进入匀强电场时的速度大小;
(2)匀强电场的场强E的大小;
(3)求粒子离开电场时的速度大小;
参考答案:(1) ;(2)
;(2) ;(3)
;(3)
本题解析:
试题分析:(1)对于粒子在AB间加速过程,由动能定理得:     
可得: 
粒子p在进入电场后做类平抛运动,设离开电场时距离O的长度为L,如图所示,则; ;
 ; ;
  ; 
可得:
(3)由动能定理可知:
可得:
考点:带电粒子在电场中的运动;动能定理
本题难度:困难
2、选择题  等量异种点电荷的连线和中垂线如图所示,现将一个带负电的检验电荷先从图中的a点沿直线移动到b点,再从b点沿直线移动到c点,则检验电荷在此全过程中(?)
A.所受电场力的方向变化
B.所受电场力的大小恒定
C.电场力一直做正功
D.电势能先不变后减小
参考答案:D
本题解析:两个等量异种电荷连线的中垂线上各点的场强方向为由正电荷的一边指向负电荷的一边,且与中垂线垂直,中垂线与两电荷连线的交点处的电场强度最大,并从交点处沿中垂线向两边递减,直至为零所以 ,两电荷连线上电场方向沿连线方向由正电荷指向负电荷,且交点处场强最小,从交点处沿连线向两边逐渐增大即
,两电荷连线上电场方向沿连线方向由正电荷指向负电荷,且交点处场强最小,从交点处沿连线向两边逐渐增大即 ,故
,故 ,从a到b再到c电场方向都是竖直向下,方向未变,电场力大小逐渐增大所以A B错误。两电荷的中垂线是一条等势线,所以从a到b的过程中电场力不做功,电势能不变,从b到c的过程中由于带负电,电场力做正功,电势能减小,所以C错误D正确。
,从a到b再到c电场方向都是竖直向下,方向未变,电场力大小逐渐增大所以A B错误。两电荷的中垂线是一条等势线,所以从a到b的过程中电场力不做功,电势能不变,从b到c的过程中由于带负电,电场力做正功,电势能减小,所以C错误D正确。
本题难度:简单
3、计算题  把一个电量为q=5×10-9 C的正电荷从距电场无穷远处移到电场中M点,电荷克服电场力做功WM=6.0×10-3 J,如果把该点电荷从距电场无穷远处移到电场中N点,电荷克服电场力做功WN=3.6×10-3 J,已知点电荷质量是3.0×10-9 kg,取无穷远处为零电势点,求:
(1)M、N点的电势是多少?
(2)M、N点的电势差是多少?把该点电荷从M点移到N点电场力做功是多少?
(3)如把点电荷从M点由静止释放,它能获得的最大速度是多少?
参考答案:(1) ,
, (2)
(2) (3)
(3)
本题解析:(1)由题意可知,若将该电荷从M点和N点分别移到无穷远,电场力应做正功,其值分别等于 和
和 ,设O点为无穷远处,
,设O点为无穷远处, ,则
,则 ,
,
所以 ,
,
(2)M、N两点电势差
点电荷从M点移到N,电场力做功
(3)根据动能定理可得 ,故
,故
考点:考查了电势,电势差,电场力做功,动能定理
本题难度:一般
4、计算题  如图所示,水平桌面处有水平向右的匀强电场,场强大小E=2?104V/m,A、B是完全相同的两个小物体,质量均为m=0.1kg,电量均为q=2?10-5C,且都带负电,原来都被按在桌面上的P点。现设法使A物体获得和电场E同方向的初速vA0=12m/s,A开始运动的加速度大小为6m/s2,经t时间后,设法使B物体获得和电场E同方向的初速vB0=6m/s(不计A、B两物体间的库仑力),求:
小题1:在A未与B相遇前,A电势能增量的最大值; 
小题2:如果要使A尽快与B相遇,t为多大? 
参考答案:
小题1:4.8J
小题2:4s
本题解析:(1)A释放后有qE+f=ma,得f=0.2N,A速度减到零,t=vA0/a=2s,经过的位移为s=vA02/2a=12m,DEmax=qEs=4.8J,(2)返回时qE-f=ma’,因为B的速度较小,要尽快相遇,对应B减速到零时与A相遇,B的最大位移sB=vB02/2a=3m,花时tB=vB0/a=1s,A返回走了s’=s-sB=9m,用时tA==3s,故t=t+tA-tB=4s
本题难度:简单
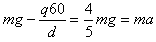
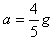
5、计算题  如图所示,带负电的小球静止在水平放置的平行板电容器两板间,距下板4cm,两板间的电势差为300V。如果两板间电势差减小到60V,则带电小球运动到极板上需多长时间?(重力加速度g=10m/s2) 
参考答案:解:若U=300V时,小球受力平衡,得
若为 =60V时,小球做匀加速直线运动,由牛顿第二定律,有
=60V时,小球做匀加速直线运动,由牛顿第二定律,有
代入数据,得 ,即
,即
由运动学公式,有
得t s=0.1 s
s=0.1 s
本题解析:
本题难度:一般