时间:2017-03-05 17:44:06
1、选择题 如图所示,光滑水平面上有大小相同的A、B两球在同一直线上运动。两球质量关系为mB=2mA,规定向右为正方向,A、B两球的动量均为6 kg·m/s,运动中两球发生碰撞,碰撞后A球的动量增量为-4 kg·m/s,则( ? )

2、实验题 如图所示,在水平光滑轨道上停着甲、乙两辆实验小车,甲车系一穿过打点计时
器的纸带,当甲
车获得某一向右速度时,随即启动打点计时器,甲车运动一段距离后,与静止的乙车发生正碰并粘在一起运动。纸带记录下碰撞前甲车和碰撞后两车运动情况如图所示。电源频率为50 Hz,则碰撞前甲车运动速度大小为________m/s,甲、乙两车碰撞后的速度大小为________m/s,该碰撞属于________碰撞。
3、计算题 如图所示,足够长的绝缘光滑水平面上分别固定着大小、形状完全相同的两个物体A、B,相距L=0.2 m,它们的质量mA=mB=0.2kg,其中A物体带正电,电量q=2×10-8C,B物体不带电。水平面上方存在水平向右的匀强电场,场强E=2.5×107N/C,在t=0时刻同时撤去固定两物体的外力后,A物体将沿水平面向右运动,并与B物体发生连续碰撞(碰撞时间极短),两物体碰撞时A物体电量不发生变化,并且每次碰撞时两物体速度均发生相互交换(g取10m/s2)。求:
(1)从A开始运动到两物体第一次相碰经历的时间;
(2)第二次碰撞时,A物体对B物体做的功;
(3)从开始至第n次碰撞时B物体通过的路程。 
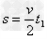
4、计算题 如图所示,一质量为m的小物块B,放在质量为M的长木板A的左端,m=3M。长木板A静止在光滑水平面上,A、B之间的动摩擦因数为μ。现使二者一起以初速度
开始向右运动,运动一段距离后,长木板A与固定竖直挡板相撞。已知A与挡板碰撞时间极短,且无机械能损失。运动过程中,B始终没从长木板A上脱落。求:
(1)长木板A第二次与挡板碰撞前,B在A上的滑痕长度s;
(2)当长木板A长度L满足什么条件时,保证B不会从A上脱落。 
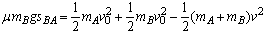
5、计算题 如图所示,A、B、C三个物体质量均为m,其中厚度相同的A、B位于光滑的水平面上,可视为质点的小 物体C放在静止的物体B上,物体A以速度v0向物体B运动,与物体B发生碰撞(碰撞时间极短),碰后A、B以相同的速度运动,但互不粘连;物体C滑过物体B后又在物体A上滑行,最后停在物体A上,与物体A一起以
的速度运动。求:
(1)物体B最终的速度;
(2)小物体C在物体A和物体B上滑行过程中由于摩擦产生的热量之比。 