高考物理知识点总结《粒子在复合场中运动》试题预测(2017年最新版)(九)

时间:2017-03-05 17:01:02

微信搜索关注"91考试网"公众号,领30元,获取事业编教师公务员等考试资料40G

1、计算题  如图(甲)所示的轮轴,它可以绕垂直于纸面的光滑固定水平轴O转动。轮上绕有轻质柔软细线,线的一端系一重物,另一端系一质量为m的金属杆。在竖直平面内有间距为L的足够长的平行金属导轨PQ、EF,在QF之间连接有阻值为R的电 阻,其余电阻不计,磁感应强度为B的匀强磁场与导轨平面垂直。开始时金属杆置于导轨下端,将质量为M的重物由静止释放,重物最终能匀速下降。运动过程中金属杆始终与导轨垂直且接触良好,忽略所有摩擦。

(1)重物匀速下降的速度V的大小是多少?
(2)对一定的磁感应强度B,重物的质量M取不同的值,测出相应的重物做匀速运动时的速度,可得出v-M实验图线。图(乙)中画出了磁感应强度分别为B1和B2时的两条实验图线,试根据实验结果计算B1和B2的比值。
(3)若M从静止到匀速的过程中一目下降的高度为h,求这一过程中R上产生的焦耳热


参考答案:(1)? (2)? (3)


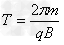
本题解析:重物匀速下降时,金属杆匀速上升,合力为零.由F=BIL、、E=BLv,结合平衡条件求出重物匀速下降的速度v,再根据v的表达式,分析v-M图象的斜率,结合图象求出斜率,即可得到B1和B2的比值.M从静止到匀速的过程中下降高度h的过程中,M的重力势能减小转化为m的重力势能、系统的动能和内能,可根据能量守恒定律求解R上产生的焦耳热.
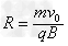
金属杆达到匀速运动时,受绳子拉力F、金属杆的重力mg、向下的安培力FA.
则:F=FA+mg?①
其中 F=Mg?②
又对金属杆有:安培力FA=BIL,感应电流,感应电动势E=BLv,
?③
由①②③得
(2) 由第一题结果及题意可得v-M的函数关系式为
结合图线可知,斜率?
所以

因此
(3)由能量关系,在这个过程中R上产生的焦耳热为

将v代入可得:


本题难度:一般



2、选择题  如图所示,虚线EF的下方存在着正交的匀强电场和匀强磁场,电场强度为E,磁感应强度为B,一带电微粒自离EF为h的高处由静止下落,从B点进入场区,做了一段匀速圆周运动,从D点射出,下列说法不正确的是

[? ]
A.微粒受到的电场力的方向是竖直向上
B.微粒做圆周运动的半径为
C.从B点运动到D点的过程中微粒的电势能和重力势能之和在最低点C最小
D.从B点运动到D点的过程中微粒的电势能先增大后减小


参考答案:C


本题解析:


本题难度:一般



3、计算题  在光滑绝缘的xOy平面内,有甲、乙、丙三个区域,在x<0的甲区域内存在着方向沿x轴正方向的匀强电场,该电场区电场强度,在0≤x<a的区域内有磁感应强度为B=0.5 T,方向垂直于xOy平面向里的匀强磁场,在x≥a、y>0的区域内有匀强电场,电场强度的大小是甲区域的π倍。现有一带正电的小球自平面上坐标原点O以沿-x轴方向的初速度v0射向甲电场区,,已知在甲区域和乙区域内粒子运动的时间是相等的,粒子进入丙区域时的电场力与其速度垂直,且后来粒子通过了x轴,又已知粒子的带电荷量q=0.1 C,粒子的质量m=10-2 kg,试求:
(1)a的数值;
(2)粒子在丙区域内运动的时间。


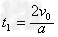
参考答案:解:(1)粒子进入甲区域做类竖直上抛运动?①
则粒子在甲区域运动的时间?②
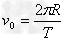
粒子在乙区域做匀速圆周运动,设其运动半径为R,运动周期为T,则?③
?④
则由③④得,??⑤
设粒子在通过乙区域时速度的偏转角为θ,因粒子在乙区域运动的时间和甲区域相等,故?⑥
由②⑤⑥得?⑦
在粒子进入丙区域的C点处作y轴的垂线交y轴于D,过C作该点速度的垂线交y轴于O",则△DO"C中有a=Rsinθ ⑧
解得a=3π=9.42 m

(2)粒子进入丙区域后做类平抛运动,由题知其场强方向应沿O"C斜向下,将O"C反向延长交x轴于H,过粒子在丙区域的轨迹与x轴的交点F作O"C反向延长线的垂线得垂足为G,设粒子在丙区域运动的时间为t2
?⑨
GF=v0t2 ⑩
又在△HGF中有
?
解⑨⑩


本题解析:


本题难度:困难



4、计算题  (16分)如图所示,坐标系xOy在竖直平面内,水平轨道AB和斜面BC均光滑且绝缘,AB和BC的长度均为L,斜面BC与水平地面间的夹角θ=600?,有一质量为m、电量为+q的带电小球(可看成质点)被放在A点。已知在第一象限分布着互相垂直的匀强电场和匀强磁场,电场方向竖直向上,场强大小,磁场为水平方向(图中垂直纸面向外),磁感应强度大小为B;在第二象限分布着沿x轴正向的水平匀强电场,场强大小。现将放在A点的带电小球由静止释放,则小球需经多少时间才能落到地面(小球所带的电量不变)?


参考答案:


本题解析:设带电小球运动到B点时速度为vB,则由功能关系:
,解得:? ①? 2分
设带电小球从A点运动到B点用时为t1,则由动量定理:
?②? 2分
当带电小球进入第一象限后所受电场力为
?③? 2分
所以带电小球做匀速圆周运动:? ④? 1分
则带电小球做匀速圆周运动的半径 ?⑤? 1分

则其圆周运动的圆心为如图所示的点,
? 2分
假设小球直接落在水平面上的点,则
? 2分
重合,小球正好打在C点。
? 1分
所以带电小球从B点运动到C点运动时间 ?⑥? 1分
所以小球从A点出发到落地的过程中所用时间? ⑦? 2分


本题难度:一般



5、选择题  右图中MN、GH为足够长光滑平行金属导轨,金属棒AB、CD垂直放在两导轨上,整个装置在同一水平面内。匀强磁场垂直于导轨所在的平面,方向如图。若给CD杆一个水平向右的速度,则

A.AB、CD最终都处于静止状态
B.AB、CD最终以相同的速度保持匀速直线运动状态
C.AB、CD最终保持匀速直线运动状态,但vCD> vAB
D.AB、CD不断做往复运动


参考答案:B


本题解析:根据电磁感应定律和牛顿第二定律:对AB棒有:
对CD棒有:一个加速一个减速,当二者共速时,磁通量不变,没有感应电动势产生,不再受安培力,二者将匀速运动。所以选B.


本题难度:简单




首页 上页 8 9 10 下页 尾页 9/10/10
微信搜索关注"91考试网"公众号,领30元,获取公务员事业编教师考试资料40G
【省市县地区导航】【考试题库导航】
 ★ 高考省级导航 ★ 
全国 A安徽 B北京 C重庆 F福建 G广东 广西 甘肃 贵州 H河南 河北 湖南 湖北 黑龙江 海南 J江苏 江西 吉林 L辽宁 N内蒙古 宁夏 Q青海 S山东 山西 陕西 四川 上海 T天津 X新疆 西藏 Y云南 Z浙江
 ★ 高考信息汇总 ★ 
 ★ 高考历年真题 ★ 
 ★ 高考历年真题 ★ 
 ★ 高考题库 ★ 
 ★ 高考题库 ★ 

电脑版  |  手机版  |  返回顶部