时间:2017-03-05 17:01:02
1、计算题  如图(甲)所示的轮轴,它可以绕垂直于纸面的光滑固定水平轴O转动。轮上绕有轻质柔软细线,线的一端系一重物,另一端系一质量为m的金属杆。在竖直平面内有间距为L的足够长的平行金属导轨PQ、EF,在QF之间连接有阻值为R的电 阻,其余电阻不计,磁感应强度为B的匀强磁场与导轨平面垂直。开始时金属杆置于导轨下端,将质量为M的重物由静止释放,重物最终能匀速下降。运动过程中金属杆始终与导轨垂直且接触良好,忽略所有摩擦。
(1)重物匀速下降的速度V的大小是多少?
(2)对一定的磁感应强度B,重物的质量M取不同的值,测出相应的重物做匀速运动时的速度,可得出v-M实验图线。图(乙)中画出了磁感应强度分别为B1和B2时的两条实验图线,试根据实验结果计算B1和B2的比值。
(3)若M从静止到匀速的过程中一目下降的高度为h,求这一过程中R上产生的焦耳热
参考答案:(1) ? (2)
? (2) ? (3)
? (3)
本题解析:重物匀速下降时,金属杆匀速上升,合力为零.由F=BIL、 、E=BLv,结合平衡条件求出重物匀速下降的速度v,再根据v的表达式,分析v-M图象的斜率,结合图象求出斜率,即可得到B1和B2的比值.M从静止到匀速的过程中下降高度h的过程中,M的重力势能减小转化为m的重力势能、系统的动能和内能,可根据能量守恒定律求解R上产生的焦耳热.
、E=BLv,结合平衡条件求出重物匀速下降的速度v,再根据v的表达式,分析v-M图象的斜率,结合图象求出斜率,即可得到B1和B2的比值.M从静止到匀速的过程中下降高度h的过程中,M的重力势能减小转化为m的重力势能、系统的动能和内能,可根据能量守恒定律求解R上产生的焦耳热.
金属杆达到匀速运动时,受绳子拉力F、金属杆的重力mg、向下的安培力FA.
则:F=FA+mg?①
其中 F=Mg?②
又对金属杆有:安培力FA=BIL,感应电流 ,感应电动势E=BLv,
,感应电动势E=BLv,
则 ?③
?③
由①②③得 
 。
。
(2) 由第一题结果及题意可得v-M的函数关系式为
结合图线可知,斜率 ?
?
所以

因此
(3)由能量关系,在这个过程中R上产生的焦耳热为
将v代入可得:
本题难度:一般
2、选择题  如图所示,虚线EF的下方存在着正交的匀强电场和匀强磁场,电场强度为E,磁感应强度为B,一带电微粒自离EF为h的高处由静止下落,从B点进入场区,做了一段匀速圆周运动,从D点射出,下列说法不正确的是
[? ]
A.微粒受到的电场力的方向是竖直向上 
B.微粒做圆周运动的半径为
C.从B点运动到D点的过程中微粒的电势能和重力势能之和在最低点C最小 
D.从B点运动到D点的过程中微粒的电势能先增大后减小 
参考答案:C
本题解析:
本题难度:一般
3、计算题  在光滑绝缘的xOy平面内,有甲、乙、丙三个区域,在x<0的甲区域内存在着方向沿x轴正方向的匀强电场,该电场区电场强度 ,在0≤x<a的区域内有磁感应强度为B=0.5 T,方向垂直于xOy平面向里的匀强磁场,在x≥a、y>0的区域内有匀强电场,电场强度的大小是甲区域的π倍。现有一带正电的小球自平面上坐标原点O以沿-x轴方向的初速度v0射向甲电场区,
,在0≤x<a的区域内有磁感应强度为B=0.5 T,方向垂直于xOy平面向里的匀强磁场,在x≥a、y>0的区域内有匀强电场,电场强度的大小是甲区域的π倍。现有一带正电的小球自平面上坐标原点O以沿-x轴方向的初速度v0射向甲电场区, ,已知在甲区域和乙区域内粒子运动的时间是相等的,粒子进入丙区域时的电场力与其速度垂直,且后来粒子通过了x轴,又已知粒子的带电荷量q=0.1 C,粒子的质量m=10-2 kg,试求:
,已知在甲区域和乙区域内粒子运动的时间是相等的,粒子进入丙区域时的电场力与其速度垂直,且后来粒子通过了x轴,又已知粒子的带电荷量q=0.1 C,粒子的质量m=10-2 kg,试求:
(1)a的数值;
(2)粒子在丙区域内运动的时间。
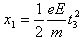
参考答案:解:(1)粒子进入甲区域做类竖直上抛运动 ?①
?①
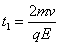
则粒子在甲区域运动的时间 ?②
?②
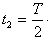
粒子在乙区域做匀速圆周运动,设其运动半径为R,运动周期为T,则 ?③
?③
又 ?④
?④
则由③④得 ,?
,? ?⑤
?⑤
设粒子在通过乙区域时速度的偏转角为θ,因粒子在乙区域运动的时间和甲区域相等,故 ?⑥
?⑥
由②⑤⑥得 ?⑦
?⑦
在粒子进入丙区域的C点处作y轴的垂线交y轴于D,过C作该点速度的垂线交y轴于O",则△DO"C中有a=Rsinθ ⑧
解得a=3π=9.42 m
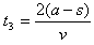
(2)粒子进入丙区域后做类平抛运动,由题知其场强方向应沿O"C斜向下,将O"C反向延长交x轴于H,过粒子在丙区域的轨迹与x轴的交点F作O"C反向延长线的垂线得垂足为G,设粒子在丙区域运动的时间为t2
故 ?⑨
?⑨
GF=v0t2 ⑩
又在△HGF中有

而 ?
?
解⑨⑩
 有
有
本题解析:
本题难度:困难
4、计算题  (16分)如图所示,坐标系xOy在竖直平面内,水平轨道AB和斜面BC均光滑且绝缘,AB和BC的长度均为L,斜面BC与水平地面间的夹角θ=600?,有一质量为m、电量为+q的带电小球(可看成质点)被放在A点。已知在第一象限分布着互相垂直的匀强电场和匀强磁场,电场方向竖直向上,场强大小 ,磁场为水平方向(图中垂直纸面向外),磁感应强度大小为B;在第二象限分布着沿x轴正向的水平匀强电场,场强大小
,磁场为水平方向(图中垂直纸面向外),磁感应强度大小为B;在第二象限分布着沿x轴正向的水平匀强电场,场强大小 。现将放在A点的带电小球由静止释放,则小球需经多少时间才能落到地面(小球所带的电量不变)?
。现将放在A点的带电小球由静止释放,则小球需经多少时间才能落到地面(小球所带的电量不变)?
参考答案:
本题解析:设带电小球运动到B点时速度为vB,则由功能关系: ,解得:
,解得: ? ①? 2分
? ①? 2分
设带电小球从A点运动到B点用时为t1,则由动量定理: ?②? 2分
?②? 2分
当带电小球进入第一象限后所受电场力为 ?③? 2分
?③? 2分
所以带电小球做匀速圆周运动: ? ④? 1分
? ④? 1分
则带电小球做匀速圆周运动的半径  ?⑤? 1分
?⑤? 1分
则其圆周运动的圆心为如图所示的 点,
点, ? 2分
? 2分
假设小球直接落在水平面上的 点,则
点,则 ? 2分
? 2分 重合,小球正好打在C点。
重合,小球正好打在C点。 ? 1分
? 1分
所以带电小球从B点运动到C点运动时间  ?⑥? 1分
?⑥? 1分
所以小球从A点出发到落地的过程中所用时间 ? ⑦? 2分
? ⑦? 2分
本题难度:一般
5、选择题  右图中MN、GH为足够长光滑平行金属导轨,金属棒AB、CD垂直放在两导轨上,整个装置在同一水平面内。匀强磁场垂直于导轨所在的平面,方向如图。若给CD杆一个水平向右的速度,则
A.AB、CD最终都处于静止状态
B.AB、CD最终以相同的速度保持匀速直线运动状态
C.AB、CD最终保持匀速直线运动状态,但vCD> vAB
D.AB、CD不断做往复运动
参考答案:B
本题解析:根据电磁感应定律和牛顿第二定律:对AB棒有:
对CD棒有: 一个加速一个减速,当二者共速时,磁通量不变,没有感应电动势产生,不再受安培力,二者将匀速运动。所以选B.
一个加速一个减速,当二者共速时,磁通量不变,没有感应电动势产生,不再受安培力,二者将匀速运动。所以选B.
本题难度:简单