时间:2017-03-05 16:33:55
1、计算题 (8分)如图所示,套在绝缘棒上的小球,质量为1g,带有q=4×10-3C的正电荷,小球在棒上可以自由滑动,直棒放在互相垂直且沿水平方向的匀强电场E=10N/C和匀强磁场B=5T之中,小球和直棒之间的动摩擦因数为
=0.2,求小球由静止沿棒竖直下落的最大加速度和最大速度。(设小球在运动过程中电量不变,重力加速度g=10m/s2)。
参考答案:最大加速度为g;最大速度为4.5m/s。
本题解析:当带正电的电荷向下运动时,正电荷受水平向左的电场力与向右的洛伦兹力,当这两个力相等时,电荷与直棒间的摩擦力为0,此时小球的加速度最大,由于仅受重力的作用,故最大加速度为g;
当合外力为零时,小球速度达到最大。
故
代入数值可得 
考点:带电小球在复合场中的运动。
本题难度:一般
2、选择题 如图所示,质量为m2的物体2放在正沿平直轨道向右行驶的车厢底板上,并用竖直细绳通过光滑定滑轮连接质量为m1的物体1,与物体1相连接的绳与竖直方向保持θ角不变,则( )
A.车厢的加速度为gsin θ
B.绳对物体1的拉力为
C.底板对物体2的支持力为(m2-m1)g
D.物体2所受底板的摩擦力为m2gsin θ
参考答案:B
本题解析:对物体1受力分析如图所示:
1物体受到的合力为绳子的拉力为
,
,根据牛顿第二定律可得
,1物体的加速度和车厢的速度相同,故车厢的加速度为
,A错误B正确;
对2物体受力分析如图所示
根据力的合成与分解,牛顿第二定律可得
,CD错误;
考点:考查了牛顿第二定律的应用
本题难度:一般
3、计算题 如图所示,质量为m=2.0kg的物体静止在水平面上,现用F=10N的水平拉力拉物体,使物体做匀加速直线运动,经t=2.0s物体的速度增大到v=4.0m/s,求:
(1)物体在此2.0s内通过的位移
(2)物体与桌面间的动摩擦因素µ
参考答案:(1)
(2)
本题解析:(1)物体在2s内通过的位移
.
(2)物体的加速度
,
根据牛顿第二定律得,
,
代入数据解得
.
考点:考查了牛顿第二定律,运动学公式
本题难度:一般
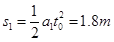
4、计算题 (12分)如图,在倾角为θ=37°的足够长的固定斜面底端,一小物块以某一初速度沿斜面上滑,一段时间后返回到出发点。若物块上滑所用时间t1和下滑所用时间t2的大小关系满足t1∶t2=1∶
,取g=10 m/s2,sin 37°=0.6,cos 37°=0.8,试求:
(1)上滑加速度a1与下滑加速度a2的大小之比;
(2)物块和斜面之间的动摩擦因数;
(3)若斜面倾角变为60°,并改变斜面粗糙程度,小物块上滑的同时用水平向右的推力F作用在物块上,发现物块匀减速上滑过程中加速度与推力大小无关,求此时加速度大小。
参考答案:(1)2(2)0.25(3)约为11.55 m/s2
本题解析:(1)
a1 t12=
a2 t22
得
=
=2
(2)上滑时:mgsin 37°+mmgcos 37°=ma1
下滑时:mgsin 37°-mmgcos 37°=ma2
得m=0.25
(3)mgsin 60°+mN-Fcos 60°=ma,N=Fsin 60°+mgcos 60°
得:mgsin 60°+mFsin 60°+mmgcos 60°-Fcos 60°=ma
因为a与F无关,所以mFsin 60°-Fcos 60°=0
此时m=ctg60°=
则,a=gsin 60°+mgcos 60°=
m/s2≈11.55 m/s2
考点:匀变速直线运动,求解位移和加速度
点评:精确分析受力情况,灵活匀变速直线运动的各个公式及牛顿第二定律。
本题难度:一般
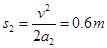
5、计算题 如图所示,斜面和水平面由一小段光滑圆弧连接,斜面的倾角θ=370,一质量m=0.5kg的物块从距斜面底端B点5m处的A点由静止释放,最后停在水平面上的C点。已知物块与水平面和斜面的动摩擦因数均为0.3。(sin37°=0.6,cos37°=0.8,g=10m/s2)
⑴求物块在水平面上滑行的时间及距离。
⑵现用与水平方向成370的恒力F斜向右上拉该物块,使物块由静止开始沿水平直线CB运动到B点时立即撤去拉力。为了让物块还能回到A点,求恒力F的范围。
参考答案:(1)2s;6m (2)
本题解析:(1)物块先沿斜面匀加速下滑,设AB长度为
,动摩擦因数为
①
②
物块在水平面上:
③
④
⑤
解得:t=2s xBC=6m
⑵ 当F有最小值F1时,物体到达A点的速度刚好为零
物体C到B加速:
⑥
⑦
⑧
滑上斜面:
⑨
⑩
解得,
N
当F有最大值F2时,水平地面对物体的支持力为零
11
解得,
N
综上所述,;
也可以
考点:牛顿第二定律的应用.
本题难度:一般