高考物理高频考点《粒子在复合场中运动》试题强化练习(2017年最新版)(七)

时间:2017-03-02 11:11:47

微信搜索关注"91考试网"公众号,领30元,获取事业编教师公务员等考试资料40G

1、选择题  如图所示,有一混合正离子束先后通过正交电场、磁场区域Ⅰ和匀强磁场区域Ⅱ,如果这束正离子束在区域Ⅰ中不偏转,进入区域Ⅱ后偏转半径又相同,则说明这些正离子具有相同的

[? ]
A.动能?
B.质量
C.电荷量?
D.比荷


参考答案:D


本题解析:


本题难度:一般



2、选择题  在LC振荡电路中,某时刻的磁场方向如图所示,则下列说法正确的是?(?)

A.若磁场正在增强,则电容器上极板带正电
B.若磁场正在减弱,则电容器上极板带正电
C.若电容器正在放电,则电容器上极板带正电
D.若电容器在充电,则自感电动势的方向与电流的方向相反


参考答案:B


本题解析:考点:
分析:图为LC振荡电路,当电容器充电后与线圈相连,电容器要放电,线圈对电流有阻碍作用,使得Q渐渐减少,而B慢慢增加,所以电场能转化为磁场能.
解答:解:A、若磁场正在增强,电容器放电,根据右手定则可知电容器下极带正电.故A错误
B、若磁场正在减弱,由楞次定律可得线圈上端为正极,电容器被充电则上极带正电.故B正确
C、若电容器正在放电.由安培定则可得电容器下极带正电.故C错误;
D、若电容器正在冲电,则线圈自感作用,阻碍电流的减小,则自感电动势的方向与电流的方向相同,故D错误;
故选:B
点评:穿过线圈磁通量变化,从中产生感应电动势,相当于电源接着电容器.


本题难度:简单



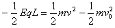
3、计算题  如图所示的区域中,左边为垂直纸面向里的匀强磁场,磁感应强度为B,右边是一个电场强度大小未知的匀强电场,其方向平行于OC向上且垂直于磁场方向。在P点有一个放射源,在纸平面内向各个方向放射出质量为m、电荷量为-q、速度大小相等的带电粒子。有一初速度方向与边界线的夹角θ=60°的粒子(如图所示),恰好从O点正上方的小孔C垂直于OC射入匀强电场,最后打在Q点。已知OC=L,OQ=2L,不计粒子的重力,求:
(1)该粒子的初速度v0的大小;
(2)电场强度E的大小;
(3)如果保持电场与磁场方向不变,而强度均减小到原来的一半,并将它们左右对调,放射源向某一方向发射的粒子,恰好从O点正上方的小孔C射入匀强磁场,则粒子进入磁场后做圆周运动的半径是多少?


参考答案:解:(1)作出粒子在磁场中做匀速圆周运动的轨迹圆,由几何关系得
?①
由向心力公式
?②
由①②得

(2)粒子在电场中做类平抛运动,有
v0t=2L ③,
由③④得
(3)电场和磁场相互交换后,对粒子在电场中的运动,由动能定理得


代入


本题解析:


本题难度:困难



4、填空题  如图所示,在水平正交的匀强电场和匀强磁场区域内,有一个带电小球A,已知电场强度为E,磁感应强度为B,小球在复合场区域中受到的电场力大小恰与它的重力大小相等,要使小球在电磁场中匀速运动,则小球的速度大小等于________,方向为____________.


参考答案:?小球带正电时,为右上方与E正向成45°角;小球带负电时, 为左上方与E正向成135°角


本题解析:小球带正电时,磁场力的大小等于重力与电场力的合力,方向如图(甲)所示.

根据左手定则,小球速度的方向与磁场力垂直,与E的正向成45°角;同理,小球带负电时,亦有方向与E正向成135°角(如图乙所示).


本题难度:一般



5、选择题  如图所示,质量为m、电荷量为e的质子以某一初速度(动能为Ek)从坐标原点O沿x轴正方向进入场区,若场区仅存在平行于y轴向上的匀强电场时,质子通过P(d,d)点时的动能为5Ek;若场区仅存在垂直于xoy平面的匀强磁场时,质子也能通过P点.不计质子的重力.设上述匀强电场的电场强度大小为E、匀强磁场的磁感应强度大小为B,则下列说法中正确的是(  )
A.E=

3Ek
ed

B.E=
5Ek
ed

C.B=
mEk

ed

D.B=
2mEk

ed



参考答案:
质子在只有电场存在时,动能由Ek变为5Ek,由动能定理可知电场力做功为:
W=eEd=5Ek-Ek
解得:E=4Eked
由此可判断,选项AB错误.
质子在只有磁场存在时,质子做匀速圆周运动,由题意可知,运动半径为d,由半径公式有:
d=mveB
设质子进入磁场时的速度为v,则速度为:
v=


本题解析:


本题难度:简单




首页 上页 6 7 8 下页 尾页 7/10/10
微信搜索关注"91考试网"公众号,领30元,获取公务员事业编教师考试资料40G
【省市县地区导航】【考试题库导航】
 ★ 高考省级导航 ★ 
全国 A安徽 B北京 C重庆 F福建 G广东 广西 甘肃 贵州 H河南 河北 湖南 湖北 黑龙江 海南 J江苏 江西 吉林 L辽宁 N内蒙古 宁夏 Q青海 S山东 山西 陕西 四川 上海 T天津 X新疆 西藏 Y云南 Z浙江
 ★ 高考信息汇总 ★ 
 ★ 高考历年真题 ★ 
 ★ 高考历年真题 ★ 
 ★ 高考题库 ★ 
 ★ 高考题库 ★ 

电脑版  |  手机版  |  返回顶部