时间:2017-03-02 10:48:32
1、简答题  电磁炮是利用磁场对电流的作用力,把电能转变成机械能,使炮弹发射出去的.如图所示,把两根互相平行的长直铜制轨道放在磁场中,轨道之间搁有长为l、质量为M的金属架,金属架上安放质量为m的炮弹.当有电流I1通过轨道和金属架时,炮弹与金属架整个在磁场力的作用下,获得速度v1时刻的加速度为a;当有大的电流I2通过轨道和炮弹时,炮弹最终以最大速度v2脱离金属架并离开轨道,则垂直于轨道平面的磁感应强度B为多大?(设金属架与炮弹在运动过程中所受的总阻力与速度的平方成正比)
参考答案:B=
本题解析:设运动中所受总阻力f=kv2,炮弹和金属架在安培力和阻力的合力作用下加速,由牛顿第二定律,获速v1时,加速度为a,有:BI1l-kv12="(M+m)a?" ①
当炮弹以最大速度脱离时,加速度为0,故有:BI2l-kv22="0?" ②
综合①②式得:B= .
.
本题难度:一般
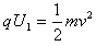
2、计算题  如图所示,能发射电子的阴极k和金属板P之间所加电压为U1,其右侧有一平行板电容器,已知平行板的板长为L,板间距离为d,且电容器的上极板带负电荷,下极板带等量的正电荷,在两极板间还存在有垂直于纸面的匀强磁场。从阴极k发出的电子被kP之间的电场加速后从P板上的小孔О射出,然后射入电容器并刚好从两板正中间沿直线ОО′射出电容器,如果在电子进入电容器前撤去板间电场而不改变磁场,则电子刚好能从平行板的右侧边缘射出,不计电子初速度、重力和电子间的相互作用,且整个装置放在真空中。求:
(1)匀强磁场的磁感应强度的方向;
(2)加在电容器两板间的电压。 
参考答案:解:(1)电子沿直线运动,故电场力和磁场力的合力为0,由于电场力方向向下,故磁场力方向向上,由左手定则可知,磁场方向垂直于纸面向外
(2)电子在加速过程中有 ①
 ① 
电子刚好从板边缘射出,设运动的轨道半径为R,则有 ②
 ② 
电子在磁场中运动时有 ③
 ③ 
电子沿直线运动时有 ④
 ④ 
联立①②③④解得加在电容器两板间的电压 ⑤
 ⑤
本题解析:
本题难度:困难
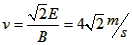
3、计算题  如图所示,位于竖直平面内的坐标系xoy,在其第三象限空间有沿水平方向的、垂直于纸面向外的匀强磁场,磁感应强度大小为B=0.5T,还有沿x轴负方向的匀强电场,场强大小为E=2N/C。在其第一象限空间有沿y轴负方向的、场强大小也为E的匀强电场,并在y>h=0.4m 的区域有磁感应强度也为B的垂直于纸面向里的匀强磁场。一个带电荷量为q的油滴从图中第三象限的P点得到一初速度,恰好能沿PO作匀速直线运动(PO与x轴负方向的夹角为θ=45o),并从原点O进入第一象限。已知重力加速度g=10m/s2,问:
(1)油滴在第一象限运动时受到的重力、电场力、洛伦兹力三力的大小之比; 
(2)油滴在P点得到的初速度大小;
(3)油滴在第一象限运动的时间以及油滴离开第一象限处的坐标值。
参考答案:解:(1)油滴带负电荷,设油滴质量为m,由平衡条件得: mg:qE:f=1:1:


 得
得




 ,由对称性知从C→N的时间
,由对称性知从C→N的时间
 =
=
 ,解得轨道半径
,解得轨道半径


本题解析:
本题难度:困难
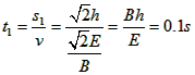
4、计算题  如图,宽度分别为l1和l2的两个毗邻的条形区域分别有匀强磁场和匀强电场,磁场方向垂直于纸面向里,电场方向与电、磁场分界线平行向左。一带正电荷的粒子以速率v从磁场区域上边界的P点斜射入磁场,然后以垂直于电、磁场分界线的方向进入电场,最后从电场边界上的Q点射出。已知PQ垂直于电场方向,粒子轨迹与电、磁场分界线的交点到PQ的距离为d。不计重力,求电场强度与磁感应强度大小之比及粒子在磁场与电场中运动时间之比。
参考答案:解:粒子在磁场中做匀速圆周运动,如图所示,由于粒子在分界线处的速度与分界线垂直,圆心O应在分界线上,OP长度即为粒子运动的圆弧的半径R。由几何关系得
 ?①
?① 
设粒子的质量和所带正电荷分别为m和q,由洛伦兹力公式和牛顿第二定律得 ?②
?② 
设P"为虚线与分界线的交点,∠POP"=α,则粒子在磁场中的运动时间为 ?③
?③ 
式中有 ?④
?④ 
粒子进入电场后做类平抛运动,其初速度为v,方向垂直于电场设粒子的加速度大小为a,由牛顿第二定律得qE=ma ⑤ 
由运动学公式有 ?⑥
?⑥
l2=vt2 ⑦
由①②⑤⑥⑦式得 ?⑧
?⑧
由①③④⑦式得
本题解析:
本题难度:困难
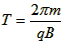
5、计算题  (10分)如图所示,两根平行且光滑的金属轨道固定在斜面上,斜面与水平面之间的夹角 ,轨道上端接一只阻值为R=0.4
,轨道上端接一只阻值为R=0.4 的电阻器,在导轨间存在垂直于导轨平面的匀强磁场,磁场的磁感应强度B=0.5 T,两轨道之间的距离为L=40cm,且轨道足够长,电阻不计。现将一质量为m="3" g,有效电阻为r=1.0
的电阻器,在导轨间存在垂直于导轨平面的匀强磁场,磁场的磁感应强度B=0.5 T,两轨道之间的距离为L=40cm,且轨道足够长,电阻不计。现将一质量为m="3" g,有效电阻为r=1.0 的金属杆ab放在轨道上,且与两轨道垂直,然后由静止释放,求:
的金属杆ab放在轨道上,且与两轨道垂直,然后由静止释放,求:
(1)金属杆ab下滑过程中可达到的最大速率;
(2)金属杆ab达到最大速率以后,电阻器R每秒内产生的电热。
参考答案:(1) (2)5.76×10-3
(2)5.76×10-3
本题解析:(1)释放后,沿斜面方向受到重力向下的分力和安培力,当达到最大速率vm时,加速度0,根据牛顿第二定律得 安?2分
安?2分
根据法拉第电磁感应定律此时 ? 1分
? 1分
根据闭合电路欧姆定律, ? 1分
? 1分
根据安培力公式? ?1分
?1分
解得? ?1分
?1分
(2) 根据能的转化和守恒定律,达到最大速度后,电路中产生的焦耳热就等于重力做的功,电路中每秒钟产生的热量为
 ?2分
?2分
金属杆每秒钟产生的热量为? =5.76×10-3?2分
=5.76×10-3?2分
本题难度:一般