时间:2017-03-02 10:24:14
1、计算题 如图所示,一质量为m="1" kg、长为L="1" m的直棒上附有倒刺,物体顺着直棒倒刺下滑,其阻力只为物体重力的1/5,逆着倒刺而上时,将立即被倒刺卡住.现该直棒直立在地面上静止,一环状弹性环自直棒的顶端由静止开始滑下,设弹性环与地面碰撞不损失机械能,弹性环的质量M="3" kg,重力加速度g="10" m/s2.求直棒在以后的运动过程中底部离开地面的最大高度. 
参考答案:0.45 m
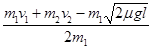
本题解析:弹性环下落到地面时,速度大小为v1,由动能定理得
Mgl-fl=Mv12/2?
解得v1="4" m/s?
弹性环反弹后被直棒刺卡住时,与直棒速度相同,
设为v2,由动量守恒定律得Mv1=(M+m)v2?
解得v2="3" m/s?
直棒能上升的最大高度为 H=v22/2g="0.45" m? s
本题考查动能定理的应用和动量守恒定律的理解
本题难度:简单
2、计算题 (1)(5分)2011年3月日本发生9级大地震,并引发海啸.位于日本东部沿海的福岛核电站部分机组发生爆炸,在日本核电站周围检测到的放射性物质碘131.在核泄漏中,碘的放射性同位素碘131(半衰期为8.3天)是最为危险的,它可以在最短的时间内让人体细胞癌化,尤其是针对甲状腺细胞,甲状吸收后造成损伤.下列有关说法中正确的是
A.在出事故前,正常运行的福岛核电站中使用的主要核燃料是碘131
B.若现在有100个碘131原子核,8.3天后一定只剩下50个碘1311原子核
C.碘131发生
衰变时所释放出的电子是原子核外电子发生电离而发射出来的
D.碘131也可以做示踪原子;给人注射微量碘131,然后定时用探测器测量甲状腺及邻近组织的放射强度,有助于诊断甲状腺的疾病
(2)(10分)如图所示,已知水平面上的P点右侧光滑,左侧与滑块m1间的动摩擦因数为μ.质量分别为m1和m2的两个滑块在水平面上P点的右侧分别以速度v1、v2向右运动,由于v1> v2而发生碰撞(碰撞前后两滑块的速度均在一条直线上).二者碰后m1继续向右运动,m2被右侧的墙以原速率弹回,再次与m1相碰,碰后m2恰好停止,而m1最终停在Q点.测得PQ间的距离为l.求第一次碰后滑块m1的速率.
参考答案:(1)D
(2)设第一次碰后m1滑块的速度大小为
,m2滑块的速度大小为
,设向右为正方向,根据动量守恒定律有:
?(3分)
第二次碰撞?
?(3分)
m1过P点向左运动过程中,由动能定理得:-μm1gl=0-
?(2分)
解得:? v1’=
本题解析:
分析:(1)在日本核电站周围检测到的放射性物质碘131,在出事故前,正常运行的福岛核电站中使用的主要核燃料不是碘131.原子核的衰变是随机的,有100个碘131原子核,8.3天后不一定只剩下50个碘131原子核.碘131发生β衰变时所释放出的电子是核内质子转化而成的.利用碘131的射线,可以做示踪原子;给人注射微量碘131,然后定时用探测器测量甲状腺及邻近组织的放射强度,有助于诊断甲状腺的疾病.
(2)碰撞过程中两物体所受的合外力为零,动量守恒,由动量守恒定律列式得到两次次碰撞后两物体的速度与碰撞前速度的关系,
过P点向左运动过程中,摩擦力做功,动能减小,根据动能定理得到第二次碰撞后
滑块的速度与l的关系式,联立可求得第一次碰后滑块
的速率.
解析::(1)在日本核电站周围检测到的放射性物质碘131,由于衰变可知,在出事故前,正常运行的福岛核电站中使用的主要核燃料不是碘131.故A错误; 原子核的衰变是随机的,有100个碘131原子核,8.3天后不一定只剩下50个碘131原子核,可能这些原子核全部衰变,一个不剩,也可能一个都没有衰变.故B错误;碘131发生β衰变时,所释放出的电子是核内质子转化来的.故C错误;利用碘131的射线,可以做示踪原子,给人注射微量碘131,由于射线的穿透本领较强,用探测器测量甲状腺及邻近组织的放射强度,有助于诊断甲状腺的疾病.故D正确.
故选D
(2)设第一次碰后
滑块的速度大小为
,
滑块的速度大小为
,设向右为正方向,根据动量守恒定律有:
第二次碰撞
过P点向左运动过程中,由动能定理得:
?
解得:
?
答案:(1)D;
(2)第一次碰后滑块
的速率是
本题难度:一般
3、简答题 质量相等且m1、m2都等于1kg的两个小球在光滑的水平面上分别以速度v1=2m/s、v2=1m/s同向运动并发生对心碰撞,碰后m2被右侧的墙原速弹回,又与m1相碰,碰后两球都静止.求两球第一次碰后m2球的速度大小.
参考答案:两个球两次碰撞过程中,系统动量守恒,根据动量守恒定律得:
本题解析:
本题难度:一般
4、计算题 一辆小车在光滑的水平面上以v2=1m/s的速度向右运动,小车的质量为M=100kg,如图所示。一质量为m=50kg的人从小车的右端迎面跳上小车,接触小车前瞬间人的水平速度大小为v1=5.6m/s。求人跳上小车后,人和小车共同运动速度的大小和方向。 
参考答案:解:取向右为正方向 

速度大小为1.2m/s,方向向左
本题解析:
本题难度:一般
5、选择题 在沿光滑的水平面上匀速运动的小车上,向其运动的正前方水平地抛出一物体后,该小车的运动情况不可能的是(? )
A.停止前进
B.向后运动
C.向前的速率变大
D.向前的速率变小
参考答案:C
本题解析:由抛出前后动量守恒可知小车的动量增量向后,因所抛物体的动量大小未知,所以小车的末动量可能向前且减小,可能等于零,可能向后.
本题难度:简单