时间:2017-03-01 00:20:18
1、选择题 关于电磁感应现象的有关说法中,正确的是( )
A.只要穿过闭合电路中的磁通量不为零,闭合电路中就一定有感应电流发生
B.穿过闭合电路中的磁通量减少,则电路中感应电流就减小
C.穿过闭合电路中的磁通量越大,闭合电路中的感应电动势越大
D.只要穿过闭合电路中的磁通量发生变化,闭合电路中就会产生感应电流
参考答案:A.只有闭合回路中磁通量发生变化时,闭合回路中才会产生感应电流,故A错误.
B.感应电流的大小取决于磁通量变化的快慢,磁通量减小时,若磁通量的变化率增大,则感应电流可能变大,故B错误;
C.磁通量大,但变化较慢,则感应电动势也可能很小,故C错误;
D.感应电流产生的条件是穿过闭合电路磁通量发生变化.故D正确.
故选:D.
本题解析:
本题难度:一般
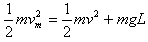
2、计算题 如图所示,有理想边界且范围足够大的两个水平匀强磁场I,Ⅱ,磁感应强度均为B,两水平边界间距为2L。有一质量为m、边长为L的正方形线框abcd由粗细均匀的导线制成,总电阻为R。线框从磁场I中某处由静止释放,运动过程中,线框平面始终在与磁场方向垂直的竖直平面内,且ab边平行于磁场边界。当ab 边刚离开磁场I时,线框恰好做匀速运动;当cd边进入磁场Ⅱ前,线框又做匀速运动。求:
(1)线框做匀速运动时,产生的感应电流的大小;
(2)线框从开始运动到完全进入磁场Ⅱ的过程中的最大速度;
(3)线框通过两磁场边界的整个过程中产生的焦耳热。
参考答案:解:(1)设线圈中的感应电流为I,则线圈做匀速运动时
BIL=mg
解得
(2)设线圈做匀速运动的速度为v,产生的电动势为E,运动的最大速度为vm,则
E=BLv

解得
(3)由能量守恒定律可知,整个过程中产生的焦耳热Q=3mgL
本题解析:
本题难度:困难
3、选择题 如图所示,MN、PQ是间距为L的平行金属导轨,置于磁感应强度为B,方向垂直导轨所在平面向里的匀强磁场中,M、P间接有一阻值为R的电阻.一根与导轨接触良好、有效阻值为R的金属导线ab垂直导轨放置,并在水平外力F的作用下以速度v向右匀速运动,则(不计导轨电阻)
A.通过电阻R的电流方向为P→R→M
B.a、b两点间的电压为BLv
C.a端电势比b端高
D.外力F做的功等于电阻R上发出的焦耳热
参考答案:C
本题解析:由右手定则可知,通过电阻R的电流方向为M→R→P,a端电势比b端高,选项A错误,C 正确;ab产生的电动势为:E=BLv,则a、b两点间的电压为
,选项B错误;由能量守恒定律可知,外力F做的功等于电阻R上发出的焦耳热及金属导轨上的焦耳热之和,选项D 错误。
本题难度:一般
4、选择题 如图所示,一半圆形铝框处在水平向外的非匀强磁场中,场中各点的磁感强度为
,y为该点到地面的距离,c为常数,B0为一定值,铝框平面与磁场垂直,直径ab水平,(空气阻力不计)铝框由静止释放下落的过程中
[? ]
A.铝框回路磁通量不变,感应电动势为0
B.回路中感应电流为顺时针方向,直径ab两点间电势差为0
C.铝框下落的加速度大小一定小于重力加速度g
D.直径ab受安培力向上,半圆弧ab受安培力向下,铝框下落加速度大小可能等于g
参考答案:C
本题解析:
本题难度:一般
5、选择题 如图所示,两根水平放置的相互平行的金属导轨ab、cd,表面光滑,处在竖直向上的匀强磁场中,金属棒PQ垂直于导轨放在上面,以速度v向右匀速运动,欲使棒PQ停下来,下面的措施可行的是(导轨足够长,棒PQ有电阻)(? )
A.在PQ右侧垂直于导轨再放上一根同样的金属棒
B.在PQ右侧垂直于导轨再放上一根质量和电阻均比棒PQ大的金属棒
C.将导轨的a、c两端用导线连接起来
D.在导轨的a、c两端用导线连接一个电容器
参考答案:选C.
本题解析:在PQ棒右侧放金属棒时,回路中会有感应电流,使金属棒加速,PQ棒减速,当获得共同速度时,回路中感应电流为零,两棒都将匀速运动,A、B项错误.当一端或两端用导线连接时,PQ的动能将转化为内能而最终静止,C项正确.若在a、c两端连接一个电容器,在电容器的充电过程中电路中有感应电流,导体棒在安培力的作用下减速,当导体棒的感应电动势与电容器两端的电压相等时,导体棒匀速运动.D项错.
本题难度:一般