高中物理知识点大全《弹力》考点预测(2017年强化版)(八)

时间:2017-02-28 23:46:54

微信搜索关注"91考试网"公众号,领30元,获取事业编教师公务员等考试资料40G

1、实验题  如图所示为一轻质弹簧的长度L和弹力F的关系图线,试由图线确定:

(1)弹簧的原长为?cm。?
(2)弹簧的劲度系数为?N/m。
(3)弹簧伸长15cm时(未超过弹性限度),弹力的大小为?N,当弹簧的弹力大小为5N时,弹簧被压缩?cm。


参考答案:(1)? 10?(2)? 200?(3)30?、2.5


本题解析:(1)当外力为零时,弹簧处于原长状态,所以
(2)当外力为F=10N时,弹簧的长度为5cm,根据胡可定律可得,所以
(3)根据胡可定律解得
点评:在运用胡克定律的时候一定要注意弹簧的伸长或者缩短量,是不代入弹簧的长度


本题难度:简单



2、实验题  用如图所示装置来验证动量守恒定律,质量为mA的钢球A用细线悬挂于O点,质量为mB的钢球B放在离地面高度为H的小支柱N上,O点到A球球心的距离为L,使悬线在A球释放前伸直,且线与竖直线夹角为A球释放后摆到最低点时恰与B球正碰,碰撞后,A球把轻质指示针OC推移到与竖直线夹角处,B球落到地面上,地面上铺有一张盖有复写纸的白纸D,保持角度不变,多次重复上述实验,白纸上记录到多个B球的落点。‘

(1)图中S应是B球初始位置到?的水平距离。
(2)为了验证两球碰撞过程动量守恒,应测得的物理量有?
(3)用测得的物理量表示碰撞前后A球、B球的动量:pA=?pA/=?pB=?pB/=?


参考答案:(1)落点?(2)mAmBHLS。(3)?; ; 0;mBS


本题解析:根据实验设计思路,A球撞击B球,B球做平抛运动,所以S应为其水平位移。在碰撞过程中,动量守恒。碰前A的速度为,碰撞后A上升到C处,根据机械能守恒定律求出碰撞后末速度为。根据平抛运动规律则碰后B球速度为,碰前总动量为,碰后A的动量为,B球触动量为0,碰后为所以要测量物理量为mAmBHLS。动量分别为?; ; 0;mBS
点评:此类题型通过机械能守恒定律求出碰前、后A的速度,并结合平抛知识求出碰后B的速度,最后根据动量守恒定律的要求列示求解。


本题难度:一般



3、实验题  (1)如图是某同学用打点计时器研究小车做匀变速直线运动时打出的一条纸带,ABCDE为该同学在纸带上所选的计数点,相邻计数点间的时间间隔为0.1s。由图可知,打点计时器打下D点时小车的瞬时速度为?m/s,小车的加速度为?m/s2(结果均保留两位有效数字)。

(2)某实验小组设计了如图(a)所示的实验装置,通过改变重物的质量,利用计算机可得滑块运动的加速度a和所受拉力F的关系图像。他们在轨道水平和倾斜的两种情况下分别做了实验,得到了两条a-F图线,如图(b)所示。
①图线________是在轨道左侧抬高成为斜面情况下得到的(选填“甲”或“乙”);
②滑块和位移传感器发射部分的总质量m=____________kg;滑块和轨道间的动摩擦因数μ=____________。(g取10m/s2)


参考答案:(1):0.18 m/s  0.39 m/s2(2) :甲? 0.5kg? 0.2


本题解析:()匀加速直线运动过程中,中间时刻速度等于该过程中的平均速度,所以,做匀变速直线运动的物体在相等时间间隔内走过的位移差是一个定值,所以,解得
(2)将左侧太高,小车可以在不悬挂重物的情况下,加速运动,故甲图是,图像斜率的倒数表示滑块和位移传感器发射部分的总质量,带入数据可得m=0.5kg,由乙图可知当悬挂1N的重物时,滑块开始滑动,所以,解得a和所受拉力F的关系实验
点评:本题的关键是理解图线的斜率的物理意义


本题难度:一般



4、选择题  下面关于力、重力、重心、弹力的说法中正确的是
A.质量分布均匀、形状规则的物体的重心一定在物体上
B.放在桌面上的木块受到桌面对它向上的弹力,这是由于木块发生微小形变而产生的
C.舞蹈演员在做各种优美动作时,其重心位置不变化
D.根据力的作用效果命名的不同名称的力,性质可能也不相同


参考答案:CD


本题解析:分析:重心位置由两个因素决定:物体的形状和物体内质量分布.根据二力平衡原理分析物体悬挂起来重心与绳子的延长线的关系.物体重心可能在物体上,也可能在物体外.任何有规则形状的均匀物体,它的重心一定与它的几何中心重合.
解答:A、任何有规则形状的质量分布均匀物体,其重心一定与它的几何中心重合.但不一定在物体上比如均匀圆环的重心在环外.故A错误;
B、放在桌面上的木块受到桌面对它向上的弹力,这是由于桌面发生微小形变而产生的.故B错误;
C、舞蹈演员在做各种优美动作时,其重心位置不断变化,故C正确.
D、根据力的作用效果命名的不同名称的力,性质可能也不相同.故D正确.
故选CD.
点评:本题考查对重心的理解能力,要紧紧抓住一般物体的重心与两个因素有关:物体的形状和物体内质量分布.


本题难度:一般



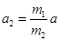
5、选择题  如图所示,光滑水平面上,AB两物体用轻弹簧连接在一起,A、B的质量分别为,在拉力作用下,AB共同做匀加速直线运动,加速度大小为,某时刻突然撤去拉力,此瞬时A和B的加速度大小为,则(?)

A.?B.
C.?D.


参考答案:D


本题解析:弹簧上的弹力不能突变,所以在撤去拉力的瞬间,A的受力情况没有变化,加速度依然为a,即,对A根据牛顿第二定律,可知弹力大小为,对B有:,计算可得,故应该选D


本题难度:一般



Affairs that are done by due degress are soon ended. 按部就班,只快不慢.

首页 上页 7 8 9 下页 尾页 8/10/10
微信搜索关注"91考试网"公众号,领30元,获取公务员事业编教师考试资料40G
【省市县地区导航】【考试题库导航】
 ★ 高考省级导航 ★ 
全国 A安徽 B北京 C重庆 F福建 G广东 广西 甘肃 贵州 H河南 河北 湖南 湖北 黑龙江 海南 J江苏 江西 吉林 L辽宁 N内蒙古 宁夏 Q青海 S山东 山西 陕西 四川 上海 T天津 X新疆 西藏 Y云南 Z浙江
 ★ 高考信息汇总 ★ 
 ★ 高考历年真题 ★ 
 ★ 高考历年真题 ★ 
 ★ 高考题库 ★ 
 ★ 高考题库 ★ 

电脑版  |  手机版  |  返回顶部