时间:2017-02-28 23:35:11
1、选择题 一枚火箭由地面竖直向上发射,其速度图象如图所示,由图象可知( )
A.火箭在0~ta段的加速度小于ta~tb段的加速度
B.0~ta段火箭是上升过程,ta~tb段火箭是下落过程
C.tc时刻火箭回到地面
D.tc时刻火箭离地最远
参考答案:AD
本题解析:
本题难度:简单
2、计算题 (8分)摩托车从A点由静止出发做匀加速直线运动,用7 s时间通过一座长BC=14 m的平桥,过桥后的速度是3 m/s。
(1)它刚开上桥头时的速度vB有多大?
(2)桥头与出发点相距多远?
参考答案:(1)1m/s? (2)1.75m
本题解析:(1)
BC=
?m/s=2 m/s,又由匀变速直线运动平均速度公式
得vB=1 m/s。
(2)
对BC段:
可知a=
?m/s2
根据公式
可得
则xAB=
?m=
?m=1.75 m。
点评:此类题型主要是考察匀变速直线运动规律及其推论的运用
本题难度:简单
3、选择题 如右图所示,为一做直线运动质点的速度v随时间t变化关系图象,则该质点的位移x随时间t变化关系图象可能是下列四图中的( )
A.
B.
C.
D.

参考答案:由速度时间图象可知,该质点先做匀减速直线运动后做反方向匀加速直线运动,即速度先减小后增加,则x-t图象中的斜率先减小后增加,C正确;
故选:C.
本题解析:
本题难度:一般
4、计算题 一辆值勤的警车停在直公路边,当警员发现从他旁边以
的速度匀速行驶的货车有违章行为时,决定去追赶,经
警车发动起来,以加速度
做匀加速运动,试问:
(1)在警车追上货车之前,两车间的最大距离是多少?
(2)若警车能达到的最大速度是
,达到最大速度后匀速运动。则警车发动起来后至少要多长的时间才能追上违章的货车?
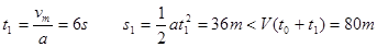
参考答案:(1)
;? (2) 
本题解析:(1)(4分)在警车追上货车之前,两车速度相等时,两车间的距离最大,设警车发动起来后
?两车速度相等,两车间的距离最大为
,则
?
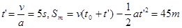
(2)(6分)若警车的最大速度是
,则警车发动起来后加速时间为
,加速位移为
则有: 
所以警车还没追上货车,这以后匀速运动追赶,设再经时间
追上:
则
?解得
所以警车发动起来后追上货车经历的时间为
本题难度:简单
5、选择题 完全相同的甲、乙两汽车,甲车空载,乙车满载,它们在同样的路面上以相同的速度行驶,若它们同时关闭发动机,则两车滑行到停止的过程中( )
A.经过相同的路程
B.经过相同的时间
C.加速度相同
D.摩擦力相同
参考答案:运动的加速度a=fm=μmgm=μg,因为μ相同,则加速度相同.
根据t=v0a,知运动的时间相等.根
据x=v022a知,位移相等.
因为质量不等,所以摩擦力f=μmg不等.故A、B、C正确,D错误.
故选ABC.
本题解析:
本题难度:一般