时间:2022-12-15 06:31:56
1、选择题 汽车从车站由静止出发沿直线行驶500s,速度达到20m/s.其运动过程的速度时间图象如图所示,则在这段时间里关于汽车运动的下列说法中正确的有( )
A.汽车运动的加速度越来越大
B.汽车在500s内的位移有可能为8000m
C.汽车在500s内的位移有可能为10000m
D.汽车在500s内的位移有可能为5000m
参考答案:A、图象的斜率表示加速度,由图象可知物体做初速度为零加速度逐渐减小的加速运动,故A错误;
B、速度时间图象曲线与坐标轴围成的面积表示位移,如果物体做初速度为零,末速度为20m/s的匀加速直线运动,
位移等于三角形的面积,即x1=500m;
而此时实际曲线形成面积大于500m.
如果物体以20m/s做匀速直线运动,位移为矩形面积
即位移:x2=1000m;
而此时实际曲线形成面积小于1000m.故B正确,CD错误.
故选:B
本题解析:
本题难度:一般
2、计算题 一列从车站开出的火车,在平直轨道上做匀加速直线运动,已知这列火车的长度为l,火车头经过某路标时的速度为v1,而车尾经过此路标时的速度为v2,求:
(1)火车的加速度a。
(2)火车中点经过此路标时的速度v。
(3)整列火车通过此路标所用的时间t。
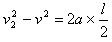
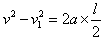
参考答案:解:火车的运动情况可以等效成一个质点做匀加速直线运动,某一时刻速度为v1,前进位移为l,速度变为v2,所求的v是经过
处的速度
(1)由匀加速直线运动的规律知:v22-v12=2al得:火车的加速度为:
(2)前一半位移为
,
;后一半位移为
,
所以:
(3)火车的平均速度为:
故所用时间为:t=
本题解析:
本题难度:一般
3、简答题 如图所示为车站使用的水平传送带的模型,它的水平传送带的长度为L=8m,传送带的皮带轮的半径均为R=0.2m,传送带的上部距地面的高度为h=0.45m.现有一个旅行包(视为质点)以v0=10m/s的初速度向右水平地滑上水平传送带,已知旅行包与皮带之间的动摩擦因数为μ=0.6.本题中g取10m/s2.试讨论下列问题:
①.若传送带静止,旅行包滑到B端时,人若没有及时取下,旅行包点将从B端滑落,则包的落地点距B端的水平距离又是多少?
②.设皮带轮顺时针匀速运动,且皮带轮的角速度ω1=40rad/s,旅行包落地点距B端的水平距离又是多少?
③.设皮带轮以不同的角速度顺时针匀速转动,画出旅行包落地点距B端的水平距离S?随皮带轮的角速度ω变化的图象.
参考答案:
(1)旅行包做匀减速运动,ma=μmg
? a=6m/s2
旅行包到达B端速度为v=
本题解析:
本题难度:一般
4、选择题 在平直公路上,自行车与同方向行驶的一辆汽车在t=0时同时经过某一个路标,它们的位移随时间变化的规律为:汽车x=10t-t2,自行车x=5t,(x?的单位为m,则下列说法正确的是t的单位为s)( )
A.汽车做匀加速直线运动,自行车做匀速直线运动
B.经过路标后的较短时间内自行车在前,汽车在后
C.在t=2.5s时,自行车和汽车相距最远
D.当两者再次同时经过同一位置时,它们距路标12.5m
参考答案:
A、由汽车x=10t-t2,与x=vt+12at2对比得到汽车的初速度为10m/s,加速度为-2m/s2,汽车做匀减速运动.自行车的位移x=5t,则知,自行车做匀速运动,速度为5m/s.故A错误.
B、在t=0时刻,汽车的速度较大,则经过路标后的较短时间内自行车在后,汽车在前.故B错误.
C、当两车的速度相等时,相距最远,则有v0-at=v,解得:t=v0-va=10-52s=2.5s.故C正确.
D、当两者再次同时经过同一位置时位移相等,则有:x=10t-t2=5t,解得,t=5s,则x=25m,即它们距路标25m.故D错误.
故选C
本题解析:
本题难度:一般
5、选择题 物体沿一直线运动,在t时间内通过的路程为s,它在中间位置
| 1 2 |
| 1 2 |
参考答案:
如图作出v-t图象,由图可知中间时刻的速度v2,因图象与时间图围成的面积表示物体通过的位移,故由图可知t2时刻物体的位移小于总位移的一半,故中间位置应在中间时刻的右侧,故此时对应的速度一定大于v2;
故(1)、(2)正确,(4)错误;
当物体做匀速直线运动时,速度始终不变,故v1=v2故(3)正确.
故选C.
本题解析:
本题难度:简单