时间:2020-08-15 22:33:39
1、选择题 如图所示,一带电粒子以速度v垂直于场强方向沿上板边缘射入匀强电场,刚好贴下边缘飞出,已知产生场强的金属板长为L,如果带电粒子的速度为2v 时,当它的竖直位移等于板间距d时,它的水平射程x为
A.1.5L
B.2L
C.2.5L
D.3L
参考答案:C
本题解析:带电粒子以速度v垂直于场强方向沿上板边缘射入电场时有
?,带电粒子的速度为2v 时的偏转位移为:
,粒子偏出时速度的方向沿场线交予上极板的中点如图所示:
由三角形相似得
,又有
联立解得:
,C正确,ABD错误。
本题难度:一般
2、计算题 如图所示,水平放置的平行板电容器,与某一电源相连,它的极板长L=0.4 m,两板间距离d=4×10-3 m,有一束由相同带电微粒组成的粒子流,以相同的速度v0从两板中央平行极板射入,开关S闭合前,两板不带电,由于重力作用微粒能落到下板的正中央,已知微粒质量为m=4×10-5 kg,电荷量q=+1×10-8 C。(g=10 m/s2)求:
(1)微粒入射速度v0为多少?
(2)为使微粒能从平行板电容器的右边射出电场,电容器的上板应与电源的正极还是负极相连?所加的电压U应取什么范围? 
参考答案:解:(1)
=v0t,
gt2,可解得:v0=
=10 m/s
(2)电容器的上板应接电源的负极
当所加的电压为U1时,微粒恰好从下板的右边缘射出
解得:U1=120 V
当所加的电压为U2时,微粒恰好从上板的右边缘射出
解得:U2=200 V
所以120 V<U<200 V
本题解析:
本题难度:困难
3、计算题 1000eV的电子流在两极板中央斜向上方进入匀强电场,电场方向竖直向上,它的初速度与水平方向夹角为30°,如图。为了使电子不打到上面的金属板上,应该在两金属板上加多大电压U?
参考答案:至少500V
本题解析:
【错解分析】错解:电子流在匀强电场中做类似斜抛运动,设进入电场时初速度为v0,
而
?得
因为电子流在电场中受到竖直向下电场力作用,动能减少。欲使电子刚好打不到金属板上有Vr=0,此时电子流动能
又由动能定理


则
,至少应加250V电压,电子才打不到上面金属板。
电子流在电场中受到电场力作用,电场力对电子做功We=Fes=eEs其中s必是力的方向上位移,即d/2,所以We=eU,U是对应沿d方向电势降落。则电子从C到A,应对应We=eUAC,故上面解法是错误的。
【正解】电子流在匀强电场中做类似斜抛运动,欲使电子刚好不打金属板上,则必须使电子在d/2内竖直方向分速度减小到零,设此时加在两板间的电压为U,在电子流由C到A途中,电场力做功We=EUAC,由动能定理

在匀强电场中,
所以
至少应加500V电压,电子才打不到上面金属板上。
【点评】动能定理是标量关系式。不能把应用牛顿定律解题方法与运用动能定理解题方法混为一谈。
本题难度:一般
4、计算题 如图所示一束带电粒子(不计重力),垂直电场线方向进入偏转电场,试讨?论在以下情况中,粒子应具备什么条件,才能得到相同的偏转距离y和偏转角θ.(U、d、
保持不变)
⑴进入偏转电场的速度相同;
⑵进入偏转电场的动能相同;
⑶先静止由同一加速电场加速后,再进入偏转电场.
参考答案:水平方向可分解为速度为
的匀速直线运动,沿电场力方向为初速为零的匀加速直线运动,设粒子带电量为q,质量为m,两平行金属板间的电压为U,板长为L,板间距离为d,当粒子以初速
平行于两板而进入电场时,由E=U/d;
,
,
,
【讨论】
⑴因为
相同,当
相同,y、tanθ也相同;
⑵因为
相同,当
相同,则
也相同;
⑶设加速电场的电压为U/,由
,有:
,
可见,在⑶的条件下,不论带电粒子的m、q如何,只要经过同一加速电场加速,再垂直进入同一偏转电场,它们飞出电场的偏转距离y和偏转角度θ都是相同的。
本题解析:略
本题难度:一般
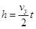
5、计算题 如图所示,在平面直角坐标系xOy中,第I象限存在沿y轴负方向的匀强电场,第IV象限存在垂直于坐标平面向外的匀强磁场,一带正电的粒子从y轴正半轴上的M点以速度v0垂直于y轴射入电场,经偏转电场后到达x轴上的N点,然后射入磁场,最后从y轴负半轴上的P点垂直于y轴射出磁场,已知M点的坐标是(0,h),N点的坐标是(2h,0),不计粒子重力,求: 

(1)粒子到达N点时的速度v的大小以及v与初速度v0的夹角
;
(2)粒子在磁场中运动的轨道半径r;
(3)粒子从M点运动到P点的总时间t。
参考答案:(1)
;45°(2)
(3)
本题解析:(1)粒子在电场中作类平抛运动,水平方向:2h=v0t;竖直方向:
,解得:vy=v0,
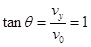
;由几何关系:
,解得θ=45°
(2)由几何关系:
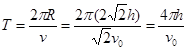
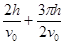
(3)粒子在电场中运动的时间:
在磁场中运动的周期为:
在磁场中运动的圆心角为1350,故运动时间:
;
故粒子从M点运动到P点的总时间t=t1+t2=
考点:带电粒子在匀强电场及在匀强磁场中的运动.
本题难度:困难