时间:2020-08-09 23:33:11
1、选择题 某同学在实验室里熟悉各种仪器的使用。他将一条形磁铁放在转盘上,如图甲所示,磁铁可随转盘转动,另将一磁感强度传感器固定在转盘旁边,当转盘(及磁铁)转动时,引起磁感强度测量值周期性地变化,该变化与转盘转动的周期一致。经过操作,该同学在计算机上得到了如图乙所示的图像。该同学猜测磁感强度传感器内有一线圈,当测得磁感强度最大时就是穿过线圈的磁通量最大时。按照这种猜测
[? ]
A.在t = 0.1s时刻,线圈内产生的感应电流的方向发生了变化
B.在t = 0.15s时刻,线圈内产生的感应电流的方向发生了变化
C.在t = 0.1s时刻,线圈内产生的感应电流的大小达到了最大值
D.在t = 0.15s时刻,线圈内产生的感应电流的大小达到了最大值
参考答案:AC
本题解析:
本题难度:一般
2、计算题 磁悬浮列车是一种高速运载工具,它由两个系统组成,一是悬浮系统,利用磁力使车体在轨道上悬浮起来从而减小阻力。另一是驱动系统,即利用磁场与固定在车体下部的感应金属线圈相互作用,使车体获得牵引力,如图就是这种磁悬浮列车电磁驱动装置的原理示意图。即在水平面上有两根很长的平行轨道PQ和MN,轨道间有垂直轨道甲面的匀强磁场B1和B2,且B1和B2的方向相反,大小相等,即B1=B2=B。列车底部固定着绕有N匝闭合的矩形金属线圈abcd(列车车厢在图中未画出),车厢与线圈绝缘,两轨道间距及线圈垂直轨道的ab边长均为L,两磁场的宽度均与线圈的ad边长度相同,当两磁场B1和B2同时沿轨道向右运动时,线圈会受到向右的磁场力,带动列车沿轨道运动。已知列车车厢及线圈的总质量为M,整个线圈的电阻为R。
(1)假设用两磁场同时水平向右以速度v0做匀速运动来启动列车,为使列车能随磁场运动,求列车所受的阻力大小应满足的条件;
(2)设列车所受阻力大小恒为f,假如使列车水平向右以速度v做匀速运动,求维持列车运动外界在单位时间内需提供的总能量;
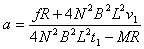
(3)设列车所受阻力大小恒为f,假如用两磁场由静止开始向右做匀加速运动来启动列车,当两磁场运动的时间为t1时,列车正在向右做匀加速直线运动,此时列车的速度为v1,求从两磁场开始运动到列车开始运动所需要的时间t0。
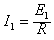
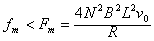
参考答案:解:(1)列车静止时,电流最大,列车受到的电磁驱动力最大设为Fm,此时
线框中产生的感应电动势E1=2NBLv0
线框中的电流
整个线框受到的安培力Fm=2NBI1L
列车所受阻力大小为
(2)当列车以速度v匀速运动时,两磁场水平向右运动的速度为v",金属框中感应电动势E=2NBL(v"-v)
金属框中感应电流
又因为F=2NBIL=f
求得
当列车匀速运动时,金属框中的热功率为P1=I2R
克服阻力的功率为P2=fv
所以可求得外界在单位时间内需提供的总能量为
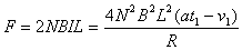
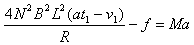
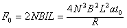
(3)根据题意分析可得,为实现列车最终沿水平方向做匀加速直线运动,其加速度必须与两磁场由静止开始做匀加速直线运动的加速度相同,设加速度为a,则t1时刻金属线圈中的电动势E=2NBL(at1-v1)
金属框中感应电流
又因为安培力
所以对列车,由牛顿第二定律得
解得
设从磁场运动到列车启动需要时间为t0,则t0时刻金属线圈中的电动势E0=2NBLat0
金属框中感应电流
又因为安培力
所以对列车,由牛顿第二定律得
解得
本题解析:
本题难度:困难
3、选择题 如图所示,通电螺线管置于水平放置的两根光滑平行金属导轨MN和PQ之间,ab和cd是放在导轨上的两根金属棒,它们分别放在螺线管的左右两侧.保持开关闭合,最初两金属棒处于静止状态,当滑动变阻器的滑动触头向左滑动时,ab和cd棒的运动情况是( )
A.ab向左,cd向右
B.ab向右,cd向左
C.ab、cd都向右运动
D.ab、cd都不动
参考答案:当变阻器滑片向左滑动时,电路的电流大小变大,线圈的磁场增加;根据安培定则由电流方向可确定线圈的磁场方向垂直于导轨向下.由于线圈处于两棒中间,所以穿过两棒所围成的磁通量变大,由楞次定律:增反减同可得,线框abdc 产生逆时针方向感应电流.最后根据左手定则可确定安培力的方向:ab棒处于垂直向上的磁场,且电流方向ab,则安培力方向向左.cd棒处于垂直向上的磁场,且电流方向dc,则安培力方向向右.
故选:A
本题解析:
本题难度:一般
4、填空题 如图为探究产生电磁感应现象条件的实验装置,当闭合开关瞬间,电流表中______电流;闭合开关后保持变阻器的滑动头位置不变时,电流表中______电流;闭合开关后将线圈A从线圈B中抽出时,电流表中______电流.(以上三空均选填“有”或“无”)
参考答案:当闭合开关瞬间,A线圈中有电流通过,产生磁场,磁场也穿过B线圈,B线圈的磁通量从无到有增加,产生感应电流,则电流表中有电流.闭合开关后保持变阻器的滑动头位置不变时,A中电流不变,穿过B线圈中磁通量不变,没有感应电流产生.闭合开关后将线圈A从线圈B中抽出时,穿过线圈B的磁通量减小,产生感应电流,则电流表中有电流.
故答案为:有,无,有
本题解析:
本题难度:一般
5、选择题 穿过某线圈的磁通量随时间变化的Φ-t图象,如图所示,下面几段时间内,产生感应电动势最大的是( )
①0-5s?②5-10s?③10-12s?④12-15s.
A.①②
B.②③
C.③④
D.④
参考答案:根据法拉第电磁感应定律E=n△Φ△t知,磁通量的变化率越大,感应电动势越大,产生的感应电流越大.从图线上可以得出,在10-15s内,图线的斜率最大,则感应电动势最大.故C正确,A、B、D错误.
故选C.
本题解析:
本题难度:一般