时间:2019-12-13 02:46:53
1、简答题 如图所示,一个质量m=2kg的物体放在光滑水平地面上.对物体施加一个F=6N的水平拉力,使物体由静止开始做匀加速直线运动.求:
(1)物体加速度a的大小;
(2)物体开始运动后t=3s内通过的距离x.
参考答案:(1)根据牛顿第二定律?F=ma
解得物体的加速度
a=Fm=62m/s2=3?m/s2?
(2)物体开始运动后t=3.0?s内通过的距离
x=12at2=12×3×32?m=13.5?m.
答:(1)物体的加速度的大小为3m/s2.
(2)物体开始运动后t=3s内通过的距离为13.5m.
本题解析:
本题难度:一般
2、简答题 一物体从高处的A点自由下落,经B点到C点,已知经B点时的速度是经C点时速度的
| 3 4 |
参考答案:设C点的速度为v,则B点的速度为34v,
根据速度位移公式得:v2-(34v)2=2gxBC,
代入数据解得:v=8
本题解析:
本题难度:一般
3、选择题 物体由静止开始运动,所受合力变化如下图所示,则在3 s内物体位移最大的是 ( )

参考答案:B
本题解析:设物体的质量为1kg,则可知物体在各个阶段的加速度;画出物体在四种情况下的v-t图线,可知B中图线与坐标轴围成的“面积”最大,故B的物体位移最大,选项B正确,故选B.
考点:牛顿第二定律及物体图线的应用
本题难度:一般
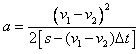
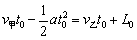
4、计算题 甲火车正以速率v1向前行驶,司机突然发现正前方同一轨道上距离为s处有另一火车乙,正以较小的速率v2沿同方向做匀速运动,甲车司机由发现情况到开始刹车所用时间(反应时间)为△t,甲车在刹车过程中做匀减速运动。要使两列火车不相撞,甲车刹车时的加速度a的大小至少应是多少?
参考答案:解:两车恰好不相撞时,二者速度相同,均为v2
设甲车由刹车到共速所用时间为t,加速度大小为a
s甲=s+s乙
s甲=v1△t+v1t-at2/2
s乙=v2(△t+t)
v2=v1-at
解得
本题解析:
本题难度:一般
5、选择题 一辆汽车由静止开始做匀加速直线运动,下列说法正确的是( )
A.在1秒内、2秒内、3秒内的位移之比是1:3:5
B.第1秒末、第2秒末、第3秒末的速度之比是1:2:3
C.若第2秒内的位移为3m,则第3秒内的位移为5m
D.通过连续相等位移的所用时间之比1:4:9
参考答案:A、根据x=12at2知在1秒内、2秒内、3秒内的位移之比为1:4:9.故A错误.
? B、根据v=at知,第1秒末、第2秒末、第3秒末的速度之比为1:2:3.故B正确.
? C、初速度为0的匀加速直线运动,在第1s内、第2s内、第3s内…位移之比等于1:3:5…第2s内的位移是3m,则第3s内的位移是5m.故C正确.
?D、初速度为0的匀加速直线运动,在通过连续相等位移所用的时间之比为1:(
本题解析:
本题难度:简单