时间:2019-12-13 02:03:52
1、实验题 一灵敏电流计,允许通过的最大电流(满刻度电流)为Ig=50μA,表头电阻Rg=1kΩ,若改装成量程为Im=1mA的电流表,应并联的电阻阻值为 Ω。若将改装后的电流表再改装成量程为Um=10V的电压表,应再串联一个阻值为 Ω的电阻。(结果保留3位有效数字。)
2、选择题  用如图所示的电路来测量电池的电动势和内电阻,根据测得的数据作出了如图所示的U-I图线,由图可知(   )
A.电池电动势的测量值为1.40 V
B.电池内阻的测量值为3.50 Ω
C.外电路发生短路时的电流为0.40 A
D.电压表的示数为1.20 V时,电流表的示数I′="0.20" A
3、实验题  (4分)如图所示,游标卡尺的读数为     mm;螺旋测微器的读数为     mm.
4、实验题  (10分)某实验小组测定水果电池的电动势和内阻,所用的器材有:
水果电池E:电动势约为1V;
电流表A:量程10mA,内阻约为几欧;
电压表V:量程1V,内阻RV=3kΩ;
滑动变阻器Rp:最大阻值200Ω;
电阻箱R:最大阻值9999Ω;
开关S,导线若干。
(1)该实验小组设计了如图1所示的电路,实验中无论怎样移动滑动变阻器的滑片,发现电流表的示数及变化均很小,且电压表的示数变化很小,分析其原因是       。
(2)该实验小组经过分析设计了如图2所示的电路,实验步骤如下:
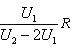
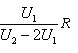
第一步:闭合开关S,多次调节电阻箱,记下电压表的示数U和电阻箱相应的阻值R,并计算出对应的与的值。
第二步:以 为纵坐标,
为纵坐标, 为横坐标,作出 -图线(用直线拟合)。
为横坐标,作出 -图线(用直线拟合)。
第三步:求出直线的斜率k和在纵轴上的截距b。
请回答下列问题:
5、实验题  硅光电池是一种可将光能转换为电能的器件。某同学用左所示电路探究硅光电池的路端电压U与总电流I的关系。图中R0为已知定值电阻,电压表视为理想电压表。

①若电压表 的读数为
的读数为 ,则I=
,则I=           
②实验一:用一定强度的光照射硅光电池,调节滑动变阻器,通过测量得到该电池的U-I曲线a。如图,短路电流为    mA ,电动势为       V。
③ 实验二:减小实验一中光的强度,重复实验,测得U-I曲线b,如图.当滑动变阻器的电阻为某值时,若实验一中的路端电压为1.5V。则实验二中外电路消耗的电功率
为       mW(计算结果保留两位有效数字)。