时间:2019-12-13 01:42:36
1、选择题  如图所示,A、B分别为竖直放置的光滑圆轨道的最低点和最高点,已知小球通过A点时的速度大小为 则该小球通过最高点B的速度值可能是( ?)
则该小球通过最高点B的速度值可能是( ?)
A.10m/s 
B.
C.3m/s 
D.1.8 m/s
参考答案:BC
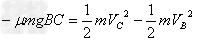
本题解析:设小球到达最高点B的速度为vB.根据机械能守恒定律得
 mg?2R+ =
= 得到vB=
得到vB= ?①
?①
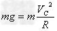
小球要能到达最高点,则在最高点B时,m ≥mg
≥mg
得到? vB≥ ?②
?②
由①②联立得? ≥
≥
解得gR≤
代入得? gR≤4
代入①得? vB≥2m/s
又机械能守恒定律可知,vB<vA=2 m/s?
m/s?
所以2m/s≤vB<2 m/s?
m/s?
故选BC
本题难度:一般
2、选择题  2013年2月15日中午12时30分左右,俄罗斯车里雅宾斯克州发生陨石坠落事件.这颗陨石进入地球大气层后与空气摩擦而发生剧烈燃烧,并发生爆炸,产生大量碎片.假定某一碎片自爆炸后落至地面并陷入地下一定深度过程中,其质量不变,则
A.该碎片在空中下落过程中重力做的功等于动能的增加量
B.该碎片在空中下落过程中重力做的功小于动能的增加量
C.该碎片在陷入地下的过程中重力做的功等于动能的改变量
D.该碎片在整个过程中克服阻力的功等于机械能的减少量
参考答案:D
本题解析:
试题分析:陨石在空中下落过程中,陨石和空气之间存在的摩擦做负功,由动能定理可得: ,故
,故 ,选项A、B均错误。陨石碎片在陷入地下的过程,同样有阻力做负功,
,选项A、B均错误。陨石碎片在陷入地下的过程,同样有阻力做负功, ,选项C错误。对全过程由能量守恒定律可知机械能转化为内能,机械能减小,内能增大,选项D正确。故选D。
,选项C错误。对全过程由能量守恒定律可知机械能转化为内能,机械能减小,内能增大,选项D正确。故选D。
本题难度:一般
3、选择题  一个质量为m的小铁块沿半径为R的固定半圆轨道上边缘由静止滑下,到半圆底部时,小铁块所受向心力为铁块重力的1.5倍,则此过程中铁块损失的机械能为 (? )
A.mgR/8
B.mgR/2 
C.mgR/4
D.3mgR/4
参考答案:C
本题解析:铁块滑到半球底部时,小铁块所受向心力为铁块重力的1.5倍,,根据牛顿第二定律,有 ,根据题意,铁块的下滑过程重力做正功,摩擦力做负功,运用动能定理,得到
,根据题意,铁块的下滑过程重力做正功,摩擦力做负功,运用动能定理,得到 ,解得克服摩擦力做的功:
,解得克服摩擦力做的功: ,所以机械能损失
,所以机械能损失 ,C正确
,C正确
本题难度:一般
4、计算题  如图所示为儿童娱乐的滑梯示意图,其中AB为斜面滑槽,与水平方向夹角为37°,BC为水平滑槽,与半径为0.2m的1/4圆弧CD相切,ED为地面。已知通常儿童在滑槽上滑动时的动摩擦系数是0.5,A点离地面的竖直高度AE为2m,试求:(g取10m/s2) 
(1)儿童在斜面滑槽上下滑时的加速度大小。 
(2)儿童由A处静止起滑到B处时的速度大小。 
(3)为了儿童在娱乐时不会从C处平抛射出,水平滑槽BC长至少为多少? 
参考答案:解:(1) =
= =
= =
 =
(2)AF=AE-R=2m-0.2m=1.8m
儿童从A处到B处,由动能定理可得:
∴


(3)若儿童恰好从C处平抛出,则儿童在C处时不受地面的弹力作用
即
即
儿童从B到C处,由动能定理可得:
∴
所以BC长至少为1m
本题解析:
本题难度:一般
5、选择题  如图所示,一木块静止在光滑水平面上,一颗子弹沿水平方向射入木块.并留在了木块中,子弹射入木块的深度为d.在子弹进入木块到两者相对静止的过程中,木块沿水平面移动的距离为L,子弹与木块间摩擦阻力的大小为f,则在这一过程中(  )
A.木块动能的增加量为fL
B.子弹动能的减少量为f(L+d)
C.系统机械能的减少量为fd
D.系统机械能的减少量为f(L+d)
参考答案:A、子弹对木块的作用力大小为f,木块相对于地的位移为L,则子弹对木块做功为fL,根据动能定理得知,木块动能的增加量等于子弹对木块做的功,即为fL.故A正确.
B、木块对子弹的阻力做功为-f(L+d),根据动能定理得知:子弹动能的减少量等于子弹克服阻力做功,大小为f(L+d).故B正确.
C、D子弹相对于木块的位移大小为d,则系统克服阻力做功为fd,根据功能关系可知,系统机械能的减少量为fd.故C正确,D错误.
故选ABC
本题解析:
本题难度:一般