时间:2019-07-11 04:28:07
1、选择题 如图所示,光滑水平面上有大小相同的A、B两球在同一直线上运动.两球质量关系为mB=2mA,规定向右为正方向,A、B两球的动量均为6 kg·m/s,运动中两球发生碰撞,碰撞后A球的动量增量为-4 kg·m/s,则(?)
A.左方是A球,碰撞后A、B两球速度大小之比为2∶5
B.左方是A球,碰撞后A、B两球速度大小之比为1∶10
C.右方是A球,碰撞后A、B两球速度大小之比为2∶5?
D.右方是A球,碰撞后A、B两球速度大小之比为1∶10
参考答案:A
本题解析:考点:
分析:光滑水平面上有大小相同的A、B?两球在发生碰撞,在碰撞过程中动量守恒.因此可根据两球质量关系,碰前的动量大小及碰后A的动量增量可得出A球在哪边,及碰后两球的速度大小之比.
解答:解:光滑水平面上大小相同A、B?两球在发生碰撞,规定向右为正方向,由动量守恒定律可得:△PA=-△PB
由于碰后A球的动量增量为负值,所以右边不可能是A球的,若是A球则动量的增量应该是正值,因此碰后A球的动量为-2kg?m/s所以碰后B球的动量是增加的,为10kg?m/s.
由于两球质量关系为mB=2mA
那么碰撞后A、B两球速度大小之比2:5
故选:A
点评:考查动量守恒定律,同时注意动量表达式中的方向性.
本题难度:一般
2、选择题 如图所示,半径和动能都相等的两个小球相向而行,甲球质量m甲大于乙球质量m乙,水平面是光滑的,两球做对心碰撞以后的运动情况可能是下述哪些情况
[? ]
A.甲球速度为零,乙球速度不为零
B.两球速度都不为零
C.乙球速度为零,甲球速度不为零
D.两球都以各自原来的速率反向运动
参考答案:AB
本题解析:
本题难度:一般
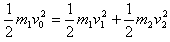
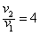
3、计算题 在光滑的水平面上,质量为m1的小球A以速率v0向右运动,在小球A的前方O点有一质量为m2的小球B处于静止状态,如图所示。小球A与小球B发生正碰后小球A、B均向右运动。小球B被在Q点处的墙壁弹回后与小球A在P点相遇,PQ=1.5PO。假设小球间的碰撞及小球与墙壁之间的碰撞都是弹性的,求两小球质量之比m1/m2。
参考答案:解:从两小球碰撞后到它们再次相遇,小球A和B的速度大小保持不变,根据它们通过的路程,可知小球B和小球A在碰撞后的速度大小之比为4:1
设碰撞后小球A和B的速度分别为v1和v2,在碰撞过程中动量守恒,碰撞前后动能相等
m1v0=m1v1+m2v2
利用
可解出
本题解析:
本题难度:一般
4、计算题 如图,倾角为θ的斜面固定。有n个质量都为m的相同的小木块(可视为质点)放置在斜面上。相邻两小木块间距离都为l,最下端的木块距底端也是l,小木块与斜面间的动摩擦因数都为μ。在开始时刻,第一个小木块从斜面顶端以初速度v0沿斜面下滑,其余所有木块都静止,由于第一个木块的下滑将依次引起一系列的碰撞。设每次碰撞的时间极短,在每次碰撞后,发生碰撞的木块都粘在一起运动,直到最后第n个木块到达底端时,速度刚好为零。己知重力加速度为g。求:
(1)第一次碰撞后小木块l的速度大小v;
(2)从第一个小木块开始运动到第一次碰撞后系统损失的机械能△E;
(3)发生一系列碰撞后,直到最后第n个木块到达底端,在整个过程中,由于碰撞所损失的总机械能△E总。
参考答案:解:(1)设小木块1碰前的速度为v1,从开始运动到碰前,根据动能定理 
对小木块1和2,由动量守恒
求出
(2)碰撞前损失的机械能为
因碰撞损失的机械能为
求出
(3)对n个木块碰撞的全过程
重力做的总功WG=
克服摩擦做的总功
根据功与能的关系
由以上各式求出
本题解析:
本题难度:困难
5、计算题 雨滴在穿过云层的过程中,不断与漂浮在云层中的小水珠相遇并结合为一体,其质量逐渐增大。现将上述过程简化为沿竖直方向的一系列碰撞。已知雨滴的初始质量为m0,初速度为v0,下降距离l后与静止的小水珠碰撞且合并,质量变为m1。此后每经过同样的距离l后,雨滴均与静止的小水珠碰撞且合并,质量依次变为m2、m3……mn……(设各质量为已知量)不计空气阻力。
(1)若不计重力,求第n次碰撞后雨滴的速度v"n;
(2)若考虑重力的影响,
a.求第1次碰撞前、后雨滴的速度v1和v"1;
b.求第n次碰撞后雨滴的动能1/2mnv"n2。
参考答案:解:(1)不计重力,全过程中动量守恒,m0v0=mnv"n
得
(2)若考虑重力的影响,雨滴下降过程中做加速度为g的匀加速运动,碰撞瞬间动量守恒
a.第1次碰撞前
?
第1次碰撞后m0v1=m1v"1
? ①
b.第2次碰撞前v22=v12+2gl
利用①式化简得
? ②
第2次碰撞后,利用②式得
同理,第3次碰撞后
……
第n次碰撞后
动能
本题解析:
本题难度:困难