时间:2019-07-11 04:24:49
1、填空题 如图所示为某运动员在平静的湖面训练滑板运动的示意图,在进行滑板运动时,水对滑板的作用力垂直于板面,大小为kv2,其中v为滑板的速率.某次运动中,在水平牵引力F作用下,当滑板和水面的夹角θ=37°时,滑板做匀速直线运动,相应的k=50kg/m,人和滑板的总质量为100kg,水平牵引力的大小为______牛,水平牵引力的功率为______瓦.
2、选择题 如图,轻弹簧上端与一质量为
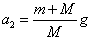
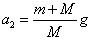
的木块1相连,下端与另一质量为
的木块2相连,整个系统置于水平放置的光滑木坂上,并处于静止状态。现将木板沿水平方向突然抽出,设抽出后的瞬间,木块1、2的加速度大小分别为a1、a2。重力加速度大小为g。则有
[? ]
A.
,
B.
,
C.
,
D.
,
3、选择题 用力F使质量为10kg的物体从静止开始,以2m/s2的加速度匀加速上升,不计空气阻力,g取10m/s2,那么2s内F做功( )
A.80J
B.200J
C.400J
D.480J
4、选择题 实验小组利用DIS系统(数字化信息实验系统),观察超重和失重现象.他们在学校电梯内做实验,在电梯天花板上固定一个拉力传感器,测量挂钩向下,并在钩上悬挂一个重力为10 N的钩码,在电梯运动 过程中,计算机显示屏上出现如图所示图线,根据图线分析可知下列说法正确的是(? )
A.从时刻t1到t2,钩码处于失重状态,从时刻t3到t4,钩码处于超重状态
B.t1到t2时间内,电梯一定在向下运动,t3到t4时间内,电梯可能正在向上运动
C.t1到t4时间内,电梯可能先加速向下,接着匀速向下,再减速向下
D.t1到t4时间内,电梯可能先加速向上,接着匀速向上,再减速向上
5、选择题 如图,用一根细线和一轻质弹簧将小钢球悬挂在天花板上,平衡时细线和弹簧与水平面的夹角均为30°,若将细线剪断,则此刻小钢球的加速度为
[? ]
A.加速度大小为
,方向垂直于BC斜向下
B.加速度大小为g,方向由A指向C
C.加速度大小为
,方向垂直于BC斜向下
D.加速度大小为g,方向竖直向下