时间:2019-07-11 04:18:40
1、计算题 如图所示,质量M=10kg的木楔ABC静置于粗糙水平地面上,M与地面前动摩擦因数μ=0.02,在木楔的倾角为30°的斜面上,有一个质量m=1.0kg的物块由静止开始沿斜面下滑,当滑行路程s=1.4m时,其速度v=1.4m/s。在这个过程中木楔未动。求地面对木楔的摩擦力的大小和方向。
参考答案:f=0.61N,方向水平向左
本题解析:
本题难度:困难
2、填空题 一物体在空气中由静止下落,若物体下落时受到的空气阻力与它的速度平方成正比,即f=kv2。已知当物体的速度达到40m/s后就匀速下落,此时空气阻力_____重力(填“大于”、“等于”或“小于”);当它的速度为10m/s时,则物体下落的加速度为________。
参考答案:等于;9.375m/s2
本题解析:
本题难度:一般
3、计算题 如图所示,光滑水平桌面上的物体B质量为m1,系一细绳,细绳跨过桌沿的定滑轮后悬挂质量为m2的物体A,先用手使B静止(细绳质量及滑轮摩擦均不计)。
(1)求放手后A、B一起运动中绳上的张力FT。
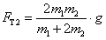
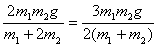
(2)若在B上再叠放一个与A质量相等的物体C,绳上张力就增大到
,求m1:m2。

参考答案:解:
(1)对B有:
对A有:
则
(2)对B有:
对A有:
则
由
得:
所以
。
本题解析:
本题难度:一般
4、选择题 如图所示,物体B靠在竖直墙面上,在竖直轻弹簧的作用下,A、B保持静止,则物体A、B受力的个数分别为 
[? ]
A.3,3
B.4,3
C.4,4
D.4,5
参考答案:B
本题解析:
本题难度:简单
5、选择题 如图所示,一夹子夹住木块,在力F作用下向上提升.夹子和木块的质量分别为m、M,夹子与木块两侧间的最大静摩擦力均为f.若木块不滑动,力F的最大值是
A.
B.
C.
-(m+M)g
D.
+ (m+M)g
参考答案:A
本题解析:
试题分析:对木块分析得,2f-Mg=Ma,解得木块的最大加速度a=
,对整体分析得,F-(M+m)g=(M+m)a,解得F=
,故A正确,B、C、D错误
本题难度:一般