时间:2019-07-11 04:16:56
1、选择题 随着科学技术的发展,设想人类不断向月球“移民”,经过较长时间后,月球和地球仍可视为均匀的球体,总人数不变,且地球的总质量仍大于月球的总质量.月球仍按原轨道运动,则与“移民”前相比,以下说法中错误的是
A.地球与月球间的万有引力将变小
B.月球绕地球运动的周期将变长
C.月球绕地球运动的线速度将变小
D.月球绕地球运动的加速度将变小
参考答案:A
本题解析:
本题难度:一般
2、填空题 已知地球半径为R,地球自转周期为T,同步卫星离地面的高度为H,万有引力恒量为G,则同步卫星绕地球运动的线速度为_____________,地球的质量为_____________。
参考答案:
本题解析:
本题难度:一般
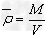
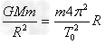
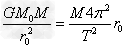
3、计算题 我国“嫦娥一号”月球探测器在绕月球成功运行之后,为进一步探测月球的详细情况,又发射了一颗绕月球表面飞行的科学实验卫星。假设卫星绕月球做圆周运动,月球绕地球也做圆周运动,且轨道都在同一平面。已知卫星绕月球运行的周期为T0,地球表面重力加速度为g,地球半径为R0,月心到地心间的距离为r0,引力常量为G,试求:
(1)月球的平均密度;
(2)月球绕地球运行的周期。
参考答案:解:(1 )设月球的半径为R ,月球质量为M ,卫星质量为m
由于在月球表面飞行
?
∴
且
,
得
(2)设地球质量为M0,月球质量为M,月球绕地球运转周期为T
由
?
且
?
得
本题解析:
本题难度:一般
4、选择题 地球半径为R ,距离地心高为6R 处有一颗同步卫星,另有一颗半径为R 的星球,距离该星球球心为18R 处也有 一颗同步卫星,它的周期为72 h ,则该星球的平均密度与地球的平均密度的比值为
[? ]
A.1:9
B.1:3
C.3:1
D.9:1
参考答案:C
本题解析:
本题难度:一般
5、填空题 一行星绕恒星作圆周运动.由天文观测可得,其运动周期为T,速度为v,引力常量为G,则恒星的质量为? ,行星运动的轨道半径为? .
参考答案:
,
本题解析:
本题难度:一般