高考物理试卷《匀变速直线运动》试题强化练习(2019年最新版)(五)

时间:2019-07-11 03:47:36

微信搜索关注"91考试网"公众号,领30元,获取事业编教师公务员等考试资料40G

1、选择题  以的速度沿平直公路行驶的汽车,遇障碍物刹车后获得大小为的加速度,刹车后第3s内,汽车走过的路程为(?)
A.12.5m
B.2m
C.0.5m
D.10m


参考答案:C


本题解析:
试题分析:汽车匀减速直线运动的初速度,则减速时间为,故第3s内只有0.5s的时间在减速运动后停下。由逆向思维法:将汽车看成初速度为零的匀加速直线运动,最初0.5s的位移为。故选C。


本题难度:简单



2、简答题  一质量m=2.0kg的小物块以一定的初速度冲上一倾角为37°足够长的斜面,某同学利用传感器测出了小物块冲上斜面过程中多个时刻的瞬时速度,并用计算机做出了小物块上滑过程的V-t时间图线,如图所示.(取sin37°=0.6?cos37°=0.8?g=10m/s2)求:
(1)小物块冲上斜面过程中加速度的大小;
(2)小物块与斜面间的动摩擦因数;
(3)小物块返回斜面底端时的速度大小(结果保留一位小数).91考试网


参考答案:(1)由图线得,a=8.01m/s2=8m/s2
(2)在垂直于斜面方向上有:FN-mgcosθ=0
沿斜面方向上有:Ff+mgsinθ=ma
Ff=μFN
联立各式解得:?=0.25
(3)小物块上滑距离:
由速度时间图线知,斜面的长度s=12v0t=4m
mgsinθ-μmgcosθ=ma
v2=2as
v=5.7m/s.
答:(1)小物块冲上斜面过程中加速度的大小为8m/s2.
(2)小物块与斜面间的动摩擦因数为0.25.
(3)小物块返回斜面底端时的速度大小为5.7m/s.


本题解析:


本题难度:一般



3、简答题  以35m/s的初速度竖直向上射出的箭,做匀变速直线运动,加速度的大小等于重力加速度g=10m/s2
(1)箭上升的最大高度为多大
(2)箭从射出到落回射出点所用的时间为多少.


参考答案:(1)根据v02=2gh得,h=v022g=35220m=61.25m.
(2)根据速度时间公式得,t=2×v0g=2×3510s=7s.
答:(1)箭上升的最大高度为61.25m.
(2)箭从射出到落回射出点所用的时间为7s.


本题解析:


本题难度:一般



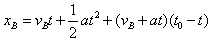
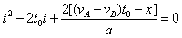
4、计算题  A、B两辆汽车在笔直的公路上同向行驶,当B车在A车前84 m处时,B车速度为4 m/s,且正以2 m/s2的加速度做匀加速运动,经过一段时间后,B车的加速度突然变为零。A车一直以20 m/s的速度做匀速运动。经过12 s后两车相遇。问B车加速行驶的时间是多少?


参考答案:解:设A车的速度为vA,B车加速行驶时间为t,两车在t0时相遇。则有:xA=vAt0 ①
?②
式中,t0=12 s,xA、xB分别为A、B两车相遇前行驶的路程,依题意有xA=xB+x ③,式中x=84 m
由①②③式得
代入题给数据vA=20 m/s,vB=4 m/s,a=2 m/s2
有t2-24t+108=0 ⑤
解得t1=6 s,t2=18 s ⑥
t2=18 s不符合题意,舍去。因此,B车加速行驶的时间为6 s


本题解析:


本题难度:一般



5、选择题  一质点在时间t内速度由v增大到2v,其加速度为a1;另一质点在时间

t
2
内速度由v增大到3v,其加速度大小为a2,则(  )
A.?a2=2a1
B.a2=3a1
C.a2=4a1
D.a2=6a1


参考答案:根据加速度的定义式得:
a1=△v1△t1=2v-vt=vt
a2=△v2△t2=3v-vt2=4vt
解得:
a2=4a1
故选C


本题解析:


本题难度:简单




首页 上页 4 5 6 下页 尾页 5/10/10
微信搜索关注"91考试网"公众号,领30元,获取公务员事业编教师考试资料40G
【省市县地区导航】【考试题库导航】
 ★ 高考省级导航 ★ 
全国 A安徽 B北京 C重庆 F福建 G广东 广西 甘肃 贵州 H河南 河北 湖南 湖北 黑龙江 海南 J江苏 江西 吉林 L辽宁 N内蒙古 宁夏 Q青海 S山东 山西 陕西 四川 上海 T天津 X新疆 西藏 Y云南 Z浙江
 ★ 高考信息汇总 ★ 
 ★ 高考历年真题 ★ 
 ★ 高考历年真题 ★ 
 ★ 高考题库 ★ 
 ★ 高考题库 ★ 

电脑版  |  手机版  |  返回顶部