高考物理试卷《直线运动》考点特训(2019年冲刺版)(二)

时间:2019-07-11 03:46:34

微信搜索关注"91考试网"公众号,领30元,获取事业编教师公务员等考试资料40G

1、简答题  图是两个物体做直线运动的速度-时间图象.其中,图线甲与时间轴平行,图线乙是通过坐标原点的直线.由图象可知(  )
A.甲物体处于静止状态
B.甲物体做匀速直线运动
C.乙物体处于静止状态
D.乙物体做匀速直线运动
91考试网


参考答案:在v-t图中,与t轴平行的直线表示物体的速度恒定,故甲为匀速直线运动,故B正确,A错误;
乙的速度随时间均匀增加,故乙为匀变速直线运动,故CD均错误;
故选B.


本题解析:


本题难度:一般



2、选择题  如图所示,一水平传送带以不变的速度v向右运动,将质量为m的物体A轻轻放在传送带左端,经时间t后,A的速度也变为v,再经过时间t后,恰好到达右端。则(? )

A.A由传送带左端到右端的平均速度为3v/4
B.传送带的长度为2vt
C.A与传送带之间的动摩擦因数为2v/gt
D.摩擦力对A先做正功后做负功


参考答案:A


本题解析:加速过程的平均速度为0.5v,所以加速运动的位移为0.5vt,水平传送带的长度为0.5vt+vt=1.5vt,平均速度为,A对;B错;由可知动摩擦因数为,C错;物体在传送带上相对静止后不受摩擦力的做用,所以摩擦力先做正功后不做功,D错;
点评:物体在传送带上匀速运动所受摩擦力为零,这是判断摩擦力做功正负的关键,其他问题根据牛顿第二定律和运动学公式不难求解,本题难度较易


本题难度:一般



3、选择题  物体作初速度为零的匀加速直线运动,第1s内的位移是5m,则( ? )
A.物体的加速度是5m/s2
B.物体的加速度为10m/s2
C.物体在第2s内的位移为10m
D.物体在第4s内的位移是20m


参考答案:B


本题解析:


本题难度:一般



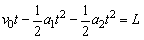
4、计算题  长为1.5m的长木板B静止放在水平冰面上,小物块A以某一初速度从木板B的左端滑上长木板B,直到A、B的速度达到相同,此时A、B的速度为0.4m/s,然后A、B又一起在水平冰面上滑行了8.0cm后停下.若小物块A可视为质点,它与长木板B的质量相同都为2kg,A、B间的动摩擦因数μ1=0.25.求:(取g=10m/s2)
(1)木块与冰面的动摩擦因数μ2.
(2)全过程产生的总热量Q.
(3)为了保证小物块不从木板的右端滑落,小物块滑上长木板的初速度应为多大?


参考答案:解:
(1)A、B一起运动时,受冰面对它的滑动摩擦力,做匀减速运动,加速度解得木板与冰面的动摩擦因数μ2=0.10;
(2)小物块A受木板对它的滑动摩擦力,做匀减速运动,加速度a1=μ1g=2.5m/s2,小物块A在木板上滑动,木块B受小物块A的滑动摩擦力和冰面的滑动摩擦力,做匀加速运动,有μ1mg-μ2(2m)g=ma2
解得加速度a2=0.50m/s2,
设小物块滑上木板时的初速度为v10,经时间t后A、B的速度相同为v
由长木板的运动得v=a2t,解得滑行时间
小物块滑上木板的初速度 v10=v+a1t=2.4m/s
小物块A在长木板B上滑动的距离
AB间产生热Q=μ1mgΔs=4.8J,木板B总位移为Δs2=at2+0.08=0.24m
则B与冰面之间产生热量Q2=μ22mgΔs=0.96J,总热量Q=Q1+ Q2=5.76J(由能量守恒解得:
总热量Q=mv102/2=5.76J 也可)
(3)小物块A滑上长木板的初速度越大,它在长木板B上相对木板滑动的距离越大,当滑动距离等于木板长时,物块A达到木板B的最右端,两者的速度相等(设为v′),这种情况下A的初速度为保证不从木板上滑落的最大初速度,设为v0.

由以上三式解得,为了保证小物块不从木板的右端滑落,小物块滑上长木板的初速度不大于最大初速度


本题解析:


本题难度:困难



5、计算题  某学校学生进行“交通信号灯”的课题研究中发现在公路的十字路口, 红灯拦停了很多汽车。 若拦停的汽车排成笔直的一列, 最前面的一辆汽车的前端刚好与路口停车线相齐, 相邻两车的前端之间的距离均为L =" 6.0" m,?若汽车起动时都以a =2.5m/s2 的加速度作匀加速运动, 加速到v="10.0" m/s 后做匀速运动通过路口。该路口亮绿灯时间t =" 40.0" s, 而且有按倒计时显示的时间显示灯. 另外交通规则规定: 原在绿灯时通行的汽车, 红灯亮起时, 车头已越过停车线的汽车允许通过。求:若绿灯亮起瞬时, 所有司机同时起动汽车, 问有多少辆汽车能通过路口?


参考答案:能有64辆汽车通过路口.


本题解析:汽车加速时间 s ?3分?
40.0 s时间, 汽车能行驶的位移?m ?4分?
? 4分
根据题意, 能有64辆汽车通过路口.? 2分
本题考查匀变速直线运动的应用,由题意求出汽车加速时间,和40s内发生的位移,由求出通过的汽车个数


本题难度:一般




首页 上页 1 2 3 下页 尾页 2/10/10
微信搜索关注"91考试网"公众号,领30元,获取公务员事业编教师考试资料40G
【省市县地区导航】【考试题库导航】
 ★ 高考省级导航 ★ 
全国 A安徽 B北京 C重庆 F福建 G广东 广西 甘肃 贵州 H河南 河北 湖南 湖北 黑龙江 海南 J江苏 江西 吉林 L辽宁 N内蒙古 宁夏 Q青海 S山东 山西 陕西 四川 上海 T天津 X新疆 西藏 Y云南 Z浙江
 ★ 高考信息汇总 ★ 
 ★ 高考历年真题 ★ 
 ★ 高考历年真题 ★ 
 ★ 高考题库 ★ 
 ★ 高考题库 ★ 

电脑版  |  手机版  |  返回顶部