时间:2019-07-03 00:21:40
1、填空题 如果光以同一入射角从真空射入不同介质,则折射率越大的介质(?)
A.折射角越大,表示这种介质对光线的偏折作用越大
B.折射角越大,表示这种介质对光线的偏折作用越小
C.折射角越小,表示这种介质对光线的偏折作用越大
D.折射角越小,表示这种介质对光线的偏折作用越小
参考答案:BC
本题解析:根据折射率的定义
,在入射角相同的情况下,折射角越小的介质,其折射率越大,该介质对光的偏折作用越大;反之,折射角越大的介质,其折射率越小,该介质对光的偏折作用越小.故正确选项应该是B、C.
本题难度:简单
2、实验题 在做测定玻璃折射率的实验时:
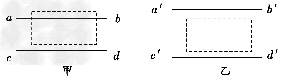
A.甲同学在纸上正确画出玻璃的两个界面ab和cd时不慎碰了玻璃砖使它向ab方向平移了一些,如图甲所示,其后的操作都正确,但画光路图时,将折射点确定在ab和cd上,则测出的n值将_______。(填“偏小、不变、偏大”)
B.乙同学为了避免笔尖接触玻璃面,画出的a"b"和c"d"都比实际侧面外侧平移了一些,如图乙所示,以后的操作都是正确的,画光路时将入射点和折射点都确定在a"b"和c"d"上,则测出的n值将________。(填“偏小、不变、偏大”)
参考答案:不变;偏小
本题解析:
本题难度:一般
3、实验题 某同学在完成了测玻璃砖折射率的光路图后,由于没有量角器,他采用了如下的方法:(如图)以P1P2的直线与玻璃砖的交点O为圆心作圆,分别交P1P2连线于A点,OO′连线延长线于B点,并通过这两点向界面法线作_____________线,若用直尺测得数据如图中所示,则此玻璃砖的折射率为_____________。? 
参考答案:垂,4/3
本题解析:
本题难度:一般
4、计算题 (9分)(2013云南昆明题改编)如图所示,ABC为一透明材料 做成的柱形光学元件的横截面,该种材料折射率n=2,AC为一半径为R的
圆弧,D为圆弧面圆心,ABCD构成正方形,在D处有一点光源。若只考虑首次从圆弧AC直接射向AB、BC的光线,从点光源射入圆弧AC的光中,有一部分不能从AB、BC面直接射出,求这部分光照射圆弧AC的弧长。
参考答案:πR/6
本题解析:⑵解析:设该种材料的临界角为C,则:sinC=1/n,解得C=30°。如图所示,若沿DE方向射到AB面上的光线刚好发生全反射,则:∠ADF=30°。同理,若沿DG方向射入的光线刚好在BC面上发生全反射,则:∠CDG=30°。因此∠FDH=30°。据几何关系可得:弧FH=
×2πR,解得弧FH=πR/6.——9分
本题难度:简单
5、选择题 光由空气斜射入水中,可以判定:
A.光的传播速度可能不变
B.折射光线远离法线
C.光的传播速度一定变大
D.一定不会发生全反射
参考答案:D
本题解析:由公式n=c/v可知光速减小,选项A错误;由折射率可知折射角小于入射角,折射光线向法线靠近,选项B错误;同理选项C错误;发生全反射的一个条件就是光必须由光密介质进入光疏介质,选项D正确;故选D
点评:本题难度较小,熟悉光学基础公式是回答本题的关键
本题难度:简单