时间:2019-07-03 00:16:53
1、选择题 如图,ad左侧有垂直于纸面向里的匀强磁场,矩形金属线圈abcd绕轴ad匀速转动的周期为T,此时bc边正向纸面内转动。规定线圈中沿abcd为电流的正方向,从bc边进入磁场开始计时,下图中能正确反映线圈中电流规律的图像为
[? ]
A.
B.
C.
D.
参考答案:D
本题解析:
本题难度:一般
2、选择题 一个由电阻均匀的导线绕制成的闭合线圈放在匀强磁场中,如图所示,线圈平面与磁场方向成60°角,磁感应强度随时间均匀变化,用下列哪些方法可使感应电流增加一倍( )
A.把线圈匝数增加一倍
B.把线圈面积增加一倍
C.把线圈半径增加一倍
D.改变线圈与磁场方向的夹角
参考答案:C.
本题解析:设导线的电阻率为ρ,横截面积为S0,线圈的半径为r,则I=
=
=
=
·
·sinθ.可见将r增加一倍,I增加1倍,将线圈与磁场方向的夹角改变时,sinθ不能变为原来的2倍(因sinθ最大值为1),若将线圈的面积增加一倍,半径r增加到原来的
倍,电流也增加到原来的
倍,I与线圈匝数无关.
本题难度:一般
3、选择题 图中两条平行虚线之间存在匀强磁场,虚线间的距离为l,磁场方向垂直纸面向里,abcd是位于纸面内的梯形线圈,ad与bc间的距离也为l.t=0时刻,bc边与磁场区域边界重合(如图).现令线圈以恒定的速度v沿垂直于磁场区域边界的方向穿过磁场区域.取沿a→b→c→d→a的感应电流为正,则在线圈穿越磁场区域的过程中,感应电流I随时间t变化的图线可能是(? )
参考答案:B
本题解析:由图知,在线圈进入磁场的过程中,切割的有效长度越来越大,故电动势增大,电流增大,根据右手定则可判断感应电流为逆时针方向,为负,故AC错误;线框离开磁场的过程中切割的有效长度也在增大,故电流增大,根据右手定则可判断,感应电流为顺时针,为正,所以B正确;D错误。
本题难度:简单
4、选择题 如图所示,水平面内有一足够长的平行金属导轨,导轨光滑且电阻不计,匀强磁场与导轨平面垂直,阻值为R的导体棒垂直于导轨静止放置,且与导轨接触良好,现闭合开关,导体棒的速度v、回路中电流i随时间变化的图像正确的是(?)

参考答案:B
本题解析:据题意,闭合快关,有电流流经导体棒,导体棒受到向右的安培力,开始向右运动,此时导体棒内部也产生一个与原始电源相反的一个感应电源,合电动势为:
,导体棒受到的安培力为:
,即导体棒向右做加速度减小的加速运动,当安培力为0时,导体棒将保持速度
做匀速运动,故选项B正确。
本题难度:一般
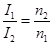
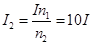
5、选择题 如图所示,导体棒
两个端点分别搭接在两个竖直放置、电阻不计、半径相等的金属圆环上,圆环通过电刷分别与两导线c、d相接,c、d两导线的端点分别接在匝数比n1:n2=10:1的变压器原线圈两端,变压器副线圈接一滑动变阻器R0,匀强磁场的磁感应强度为B,方向竖直向下,导体棒
长为L(电阻不计),绕与
?平行的水平轴(也是两圆环的中心轴)OO"以角速度ω匀速转动.如果变阻器的阻值为R时,通过电流表的电流为I,则
A.变阻器上消耗的功率为P =10I2R
B.变压器原线圈两端的电压U1 =10IR
C.取
在环的最低端时t =0,则棒ab中感应电流的表达式是
=
Isinωt
D.
沿环转动过程中受到的最大安培力F =
BIL
参考答案:D
本题解析:由
得副线圈中的电流为:
,变压器消耗的功率为:
,A错误;原副线圈的功率相等,有
,所以
,B错误;取
在环的最低端时t =0,则棒ab中感应电流的表达式应为
=
Icosωt,C错误,导体棒中的最大电流为
I,受到的安培力为F =
BIL,D正确。
本题难度:一般