时间:2019-07-03 00:16:13
1、选择题 关于速度和加速度的关系,下列说法中正确的是( )
A.速度变化得越多,加速度就越大
B.速度变化得越快,加速度就越大
C.加速度的方向保持不变,速度方向可能会改变
D.加速度大小不断变小,速度大小可能会增加
参考答案:A、速度变化得越多,加速度不一定越大,还与发生这一变化所用的时间有关.故A错误.
B、根据加速度的物理意义可知,加速度反映物体速度变化的快慢,则速度变化得越快,加速度就越大.故B正确.
C、加速度的方向保持不变,速度方向也可能会改变,比如竖直上抛运动.故C正确.
D、若速度与加速度方向相同,加速度大小变小时,速度仍在增大,速度增大由快变慢.故D正确.
故选BCD
本题解析:
本题难度:简单
2、简答题 如图所示,匀强磁场宽L=30cm,B=3.34×10-3?T,方向垂直纸面向里,设一质子以v0=1.6×105?m/s的速度垂直于磁场B的方向从小孔C射入磁场,然后打到照相底片上的A点,质子的质量为1.67×10-27?kg;质子的电量为1.6×10-19?C.试求:
(1)质子在磁场中运动的轨道半径r;
(2)A点距入射线方向上的O点的距离H;
(3)质子从C孔射入到A点所需的时间t.
参考答案:
(1)根据公式得:qvB=mv2R
R=mveB=1.67×10-27×1.6×1051.6×10-19×3.34×10-3m=0.5m,
(2)由平面几何关系得:R2=L2+(R-H)2? 得H=0.1m
(3)sinθ=LR=0.30.5=0.6? θ=37°
质子在磁场中转动的角度为37°,则运动时间为:
t=37°360°T=2πmeB×37°360°≈2×10-6s.
本题解析:
本题难度:一般
3、选择题 质量为m的小球在竖直平面内的圆形轨道的内侧运动,经过最高点而不脱离轨道的临界速度值是v,当小球以2v的速度经过最高点时,对轨道的压力值为(? )
A.mg
B.2mg
C.3mg
D.4mg
参考答案:C
本题解析:当小球以速度v经内轨道最高点时,小球仅受重力,重力充当向心力,有
;
当小球以速度2v经内轨道最高点时,小球受重力G和向下的支持力N,如图,
合力充当向心力,有
;又由牛顿第二定律得到,小球对轨道的压力与轨道对小球的支持力相等,N′=N;由以上三式得到,N′=3mg;故答案选C;
点评:本题要注意对小球受力分析,找出向心力来源;同时,题中要求的为轨道对小球的压力,而非支持力!
本题难度:简单
4、计算题 有一水平放置的圆盘,上面放有一劲度系数为k的弹簧,如图所示,弹簧的一端固定于轴O上,另一端挂 一质量为m的物体A,物体与盘面间的动摩擦因数为μ,开始时弹簧未发生形变,长度为R,求:
(1)盘的转速n0多大时,物体A开始滑动?
(2)分析转速达到2n0时,弹簧的伸长量△x是多少?

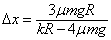
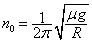
参考答案:解:
若圆盘转速较小,则静摩擦力提供向心力,当圆盘转速较大时,弹力与摩擦力的合力提供向心力.
(1)圆盘开始转动时,A所受静摩擦力提供向心力,则有
? ①
又因为 ω0= 2πn0,? ②
由①②两式得
即当
时物体A开始滑动.
(2)转速增加到2n0时,有
μmg+k△x= mω12, ③
ω1=2π·2n0,? ④
r=R+△x,? ⑤
整理得
本题解析:
本题难度:一般
5、填空题 足球守门员在发门球时,将一个静止的质量为0.4 kg的足球,以10 m/s的速度踢出,若守门员踢球的时间为0.1s,则足球的平均加速度为__________m/s2;足球沿草地作直线运动,速度不断减小,设加速度大小恒为2m/s2,3s后足球运动到后卫队员处,则此过程中,足球运动的平均速度为__________m/s,后卫队员接到球时,足球的速度为__________m/s。
参考答案:100,7,4
本题解析:
本题难度:一般