时间:2019-06-29 06:15:16
1、实验题 (7分)、如图所示是蒋老师设计的防盗门报警器的简化电路示意图,(含逻辑电路图)门打开时,红外光敏电阻Rt受到红外线照射,电阻减小;门关闭时会遮蔽红外线光源(红外线光源没有画出),红外光敏电阻Rt增大。经实验试验,灯的亮灭的却能反映门的开关状态。(1)要实现门打开时红灯亮,同时电铃响,门关闭时绿灯亮,电铃不响,试简述其工作原理。(2)在图中虚线框内该装入怎样的元件?在虚线框内画出门电路图。
[
2、计算题 电话的话筒可以把声音变化转换为电流变化.炭精话筒的结构如图5-1-12所示,炭精盘和振动膜之间充满了接触不紧密的炭粒.声音使振动膜振动,改变炭粒接触的紧密程度,使炭粒的电阻发生变化,从而改变电路电流的大小.如果炭粒的电阻能在45—55 Ω的范围内变化,当加在它两端的电压为3 V时,求电路中电流变化的范围.
图5-1-12
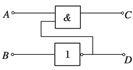
3、填空题 在如图所示的逻辑电路中,门电路“1”为非门,门电路“&”为与门。当A端输入电信号“1”、B端输入电信号“0”时,则在D和C端输出的电信号分别为?;??。(提示:A、D为门电路“&”的输入端)
4、简答题 利用超声波遇到物体发生反射,可测定物体运动的有关参量,图5-3-15(a)中仪器A和B通过电缆线连接,B为超声波发射与接收一体化装置,仪器A和B提供超声波信号源而且能将B接收到的超声波信号进行处理并在屏幕上显示其波形.
图5-3-15
现固定装置B,并将它对准匀速行驶的小车C,使其每隔固定时间T0发射一短促的超声波脉冲,如图5-3-15(b)中?幅度较大的波形,反射波滞后的时间已在图中标出,其中T和ΔT为已知量,另外还知道该测定条件下超声波在空气中的速度为v0,根据所给信息求小车的运动方向和速度大小.
5、选择题 图为包含某逻辑电路的一个简单电路图,L为小灯泡.当电阻R′受到光照时,其阻值将变得远小于R.则下列判断正确的是(?)
A.该逻辑电路是“与”门电路
B.该逻辑电路是“或”门电路
C.该逻辑电路是“非”门电路
D.当电阻R′受到光照时,小灯泡L将发光